Официальное опубликование правовых актов
ОФИЦИАЛЬНОЕ ОПУБЛИКОВАНИЕ
Постановление Главного управления "Региональная энергетическая комиссия" Рязанской области от 17.12.2019 № 380
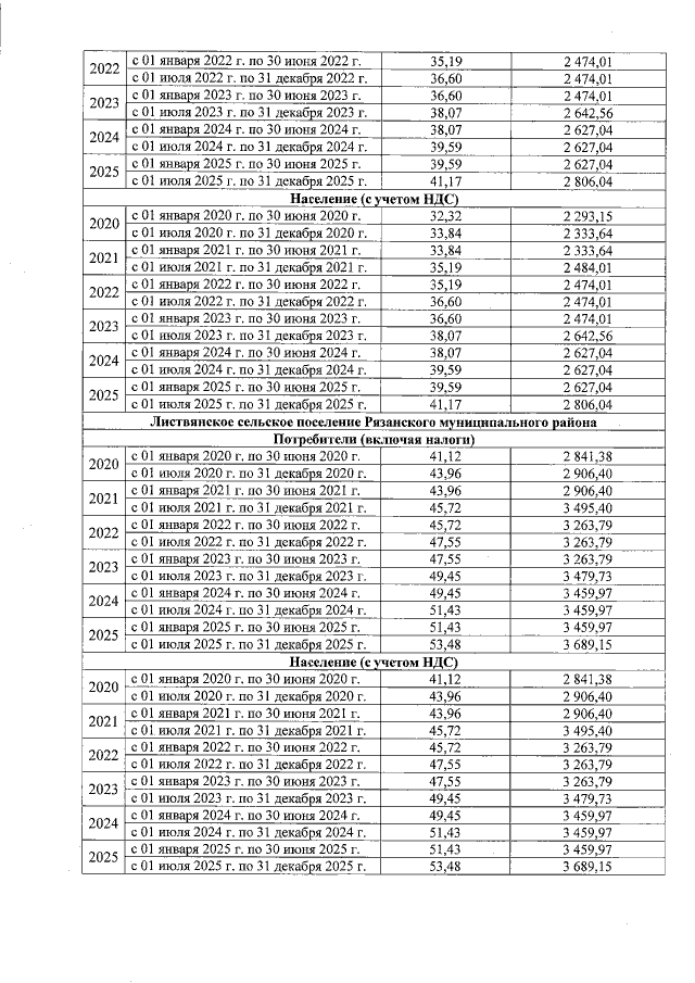
"Об установлении тарифов на горячую воду для потребителей МКП "ЖКХ Рязанское" в Окском и Листвянском сельских поселениях Рязанского муниципального района"
Номер опубликования: 6201201912230003
Дата опубликования: 23.12.2019
Страница №7 из 8:
Увеличить