Официальное опубликование правовых актов
ОФИЦИАЛЬНОЕ ОПУБЛИКОВАНИЕ
Постановление Правительства Рязанской области от 22.12.2023 № 501
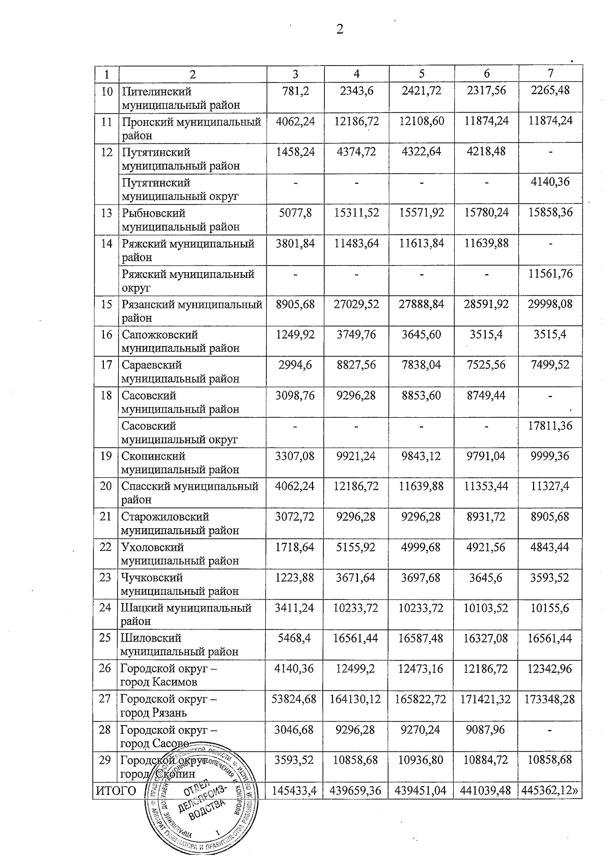
"О внесении изменения в постановление Правительства Рязанской области от 02 сентября 2020 г. № 226 "О распределении объемов иных межбюджетных трансфертов бюджетам муниципальных образований Рязанской области на обеспечение выплат ежемесячного денежного вознаграждения за классное руководство" (в редакции постановлений Правительства Рязанской области от 15.12.2020 № 340, от 27.07.2021 № 198, от 02.11.2021 № 300, от 21.06.2022 № 229, от 16.11.2022 № 410, от 28.11.2023 № 438)"
Номер опубликования: 6200202312270028
Дата опубликования: 27.12.2023
Страница №3 из 3:
Увеличить