Официальное опубликование правовых актов
ОФИЦИАЛЬНОЕ ОПУБЛИКОВАНИЕ
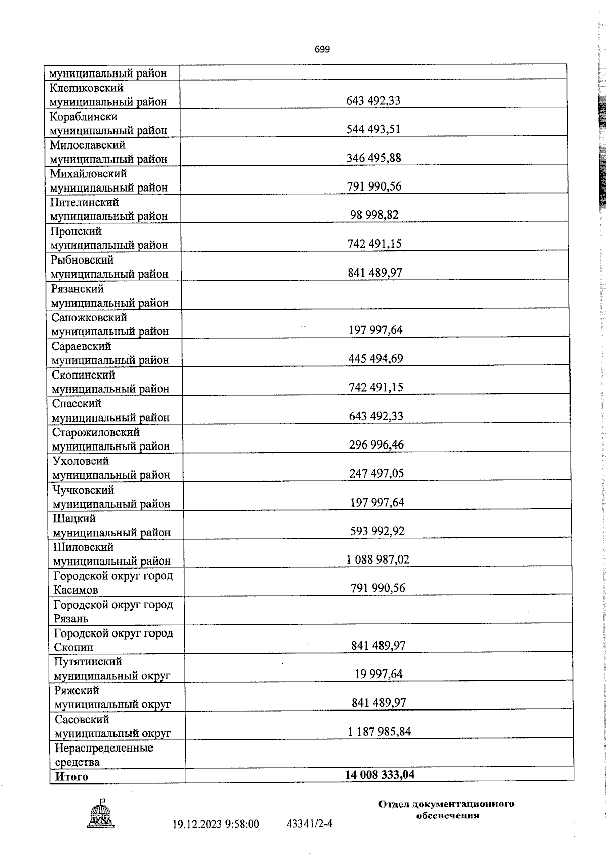
Закон Рязанской области от 25.12.2023 № 129-ОЗ
"Об областном бюджете на 2024 год и на плановый период 2025 и 2026 годов"
Номер опубликования: 6200202312250005
Дата опубликования: 25.12.2023
Страница №699 из 788:
Увеличить