Официальное опубликование правовых актов
ОФИЦИАЛЬНОЕ ОПУБЛИКОВАНИЕ
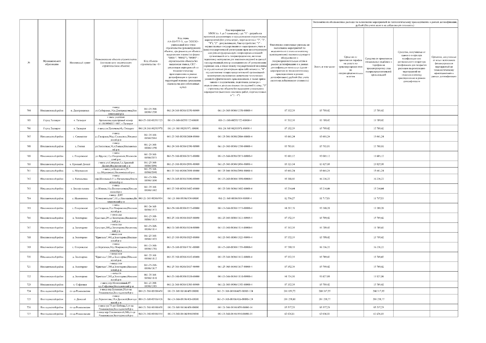
Постановление Региональной службы по тарифам Ростовской области от 24.02.2026 № 16
"Об установлении размера экономически обоснованных расходов ПАО "Газпром газораспределение Ростов-на-Дону" на выполнение мероприятий на осуществление технологического присоединения газоиспользующего оборудования в рамках догазификации за 4 квартал 2025 года"
(Зарегистрирован 24.02.2026 № 16)
Номер опубликования: 6101202602240003
Дата опубликования: 24.02.2026
Страница №32 из 178:
Увеличить