Официальное опубликование правовых актов
ОФИЦИАЛЬНОЕ ОПУБЛИКОВАНИЕ
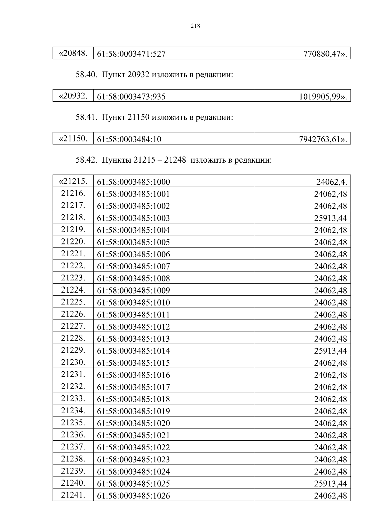
Постановление Министерства имущественных и земельных отношений, финансового оздоровления предприятий, организаций Ростовской области от 25.12.2025 № 66
"О внесении изменений в постановление министерства имущественных и земельных отношений, финансового оздоровления предприятий, организаций Ростовской области от 11.11.2022 № П-7"
(Зарегистрирован 25.12.2025 № 66)
Номер опубликования: 6101202512260002
Дата опубликования: 26.12.2025
Страница №218 из 226:
Увеличить