Официальное опубликование правовых актов
ОФИЦИАЛЬНОЕ ОПУБЛИКОВАНИЕ
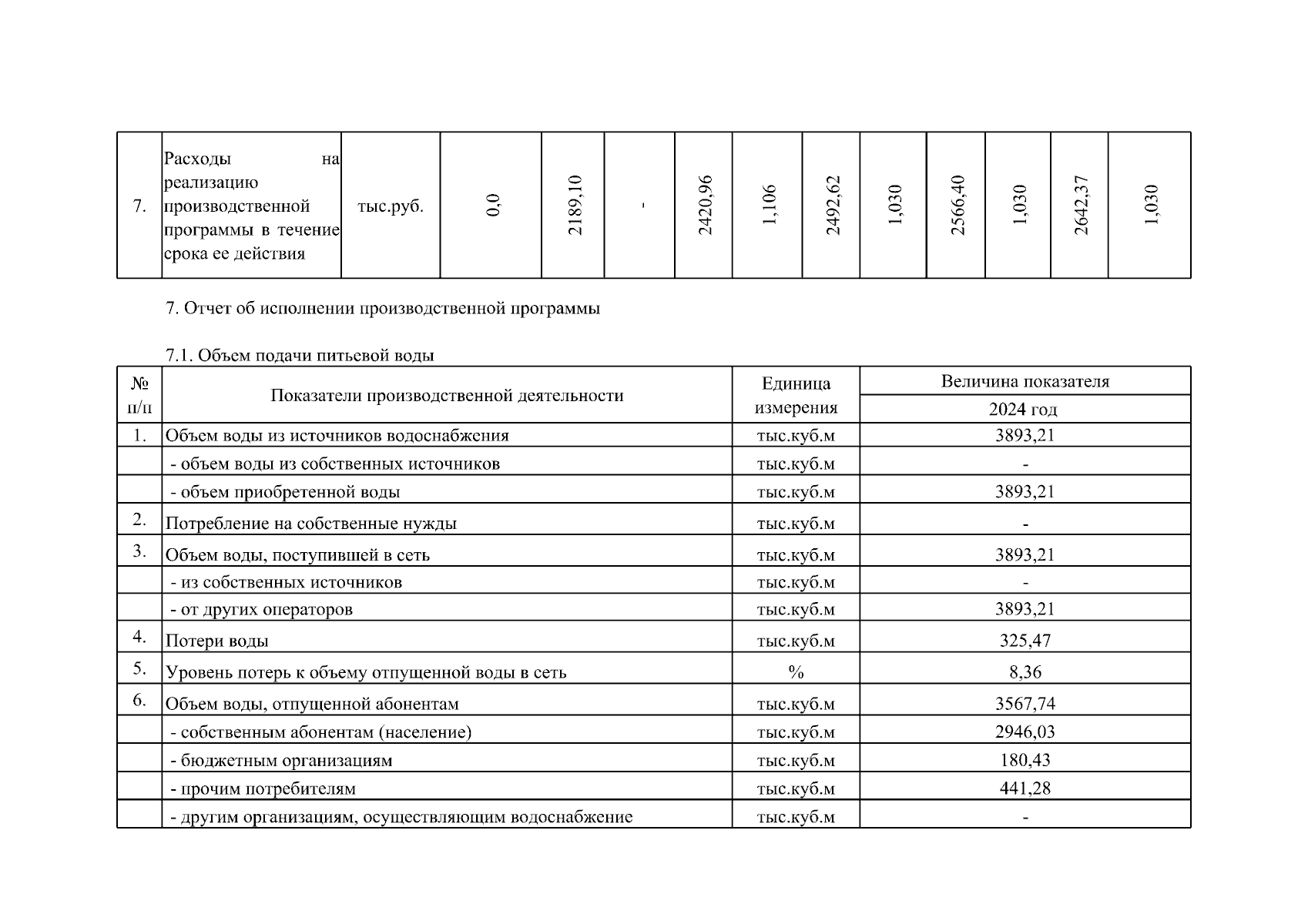
Постановление Региональной службы по тарифам Ростовской области от 18.12.2025 № 612
"О корректировке производственных программ в сфере холодного водоснабжения и водоотведения ООО "Водоканал" (ИНН 6147041222) на 2026 год"
(Зарегистрирован 18.12.2025 № 612)
Номер опубликования: 6101202512190087
Дата опубликования: 19.12.2025
Страница №13 из 37:
Увеличить