Официальное опубликование правовых актов
ОФИЦИАЛЬНОЕ ОПУБЛИКОВАНИЕ
Постановление Региональной службы по тарифам Ростовской области от 18.02.2025 № 13
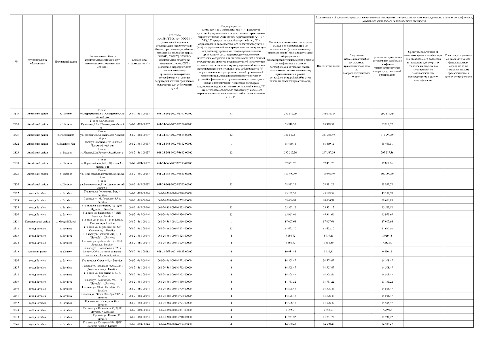
"Об установлении размера экономически обоснованных расходов на выполнение мероприятий на осуществление технологического присоединения газоиспользующего оборудования в рамках догазификации для ПАО "Газпром газораспределение Ростов-на-Дону" за 4 квартал 2024 года"
(Зарегистрирован 18.02.2025 № 13)
Номер опубликования: 6101202502200001
Дата опубликования: 20.02.2025
Страница №134 из 170:
Увеличить