Официальное опубликование правовых актов
ОФИЦИАЛЬНОЕ ОПУБЛИКОВАНИЕ
Постановление Министерства строительства, архитектуры и территориального развития Ростовской области от 14.12.2023 № 26
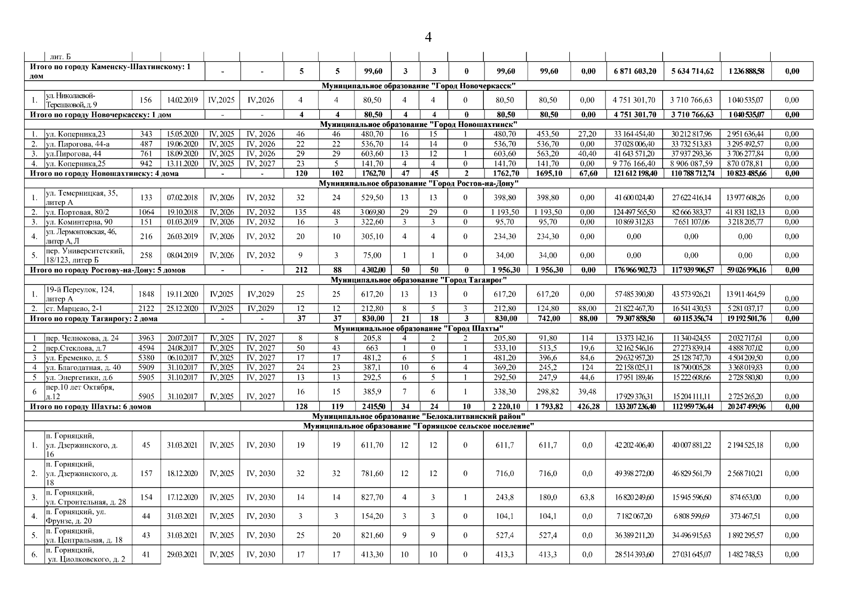
"Об утверждении адресного перечня многоквартирных домов, признанных аварийными с 1 января 2017 г. по 1 января 2022 г., подлежащих расселению в рамках этапа 2024-2025 годов областной адресной программы "Переселение граждан из многоквартирных домов, а также домов блокированной застройки, признанных аварийными, подлежащими сносу или реконструкции"
(Зарегистрирован 14.12.2023 № 26)
Номер опубликования: 6101202312150003
Дата опубликования: 15.12.2023
Страница №4 из 7:
Увеличить