Официальное опубликование правовых актов
ОФИЦИАЛЬНОЕ ОПУБЛИКОВАНИЕ
Постановление Региональной службы по тарифам Ростовской области от 20.12.2018 № 85/26
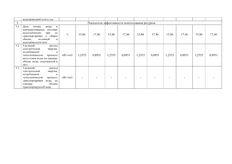
"Об утверждении производственных программ в сфере холодного водоснабжения и водоотведения ГУП РО "УРСВ" (ИНН 6167110467), на 2019 - 2023 годы"
Номер опубликования: 6101201812250093
Дата опубликования: 25.12.2018
Страница №37 из 58:
Увеличить