Официальное опубликование правовых актов
ОФИЦИАЛЬНОЕ ОПУБЛИКОВАНИЕ
Постановление Региональной службы по тарифам Ростовской области от 20.11.2018 № 71/3
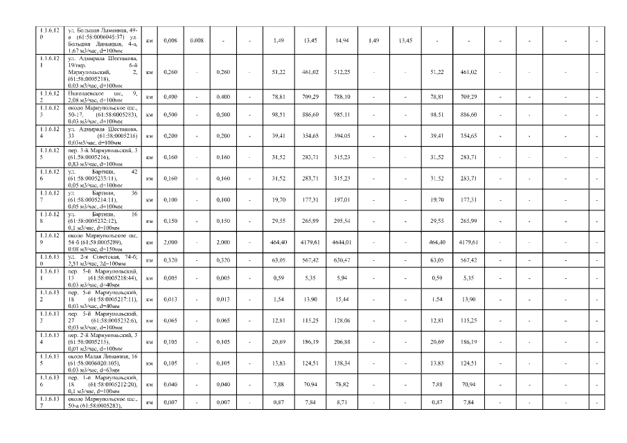
"О корректировке инвестиционной программы МУП "Управление "Водоканал" (ИНН 6154051373), г. Таганрог, осуществляющего деятельность в сфере холодного водоснабжения и водоотведения, на 2019 год"
Номер опубликования: 6101201811270008
Дата опубликования: 27.11.2018
Страница №21 из 55:
Увеличить