Официальное опубликование правовых актов
ОФИЦИАЛЬНОЕ ОПУБЛИКОВАНИЕ
Постановление Правительства Ростовской области от 21.04.2026 № 355
"О внесении изменений в постановление Правительства Ростовской области от 29.12.2025 № 339"
Номер опубликования: 6100202604220005
Дата опубликования: 22.04.2026
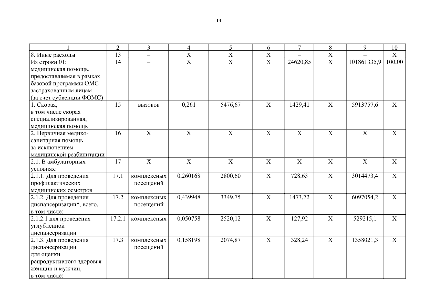
Страница №114 из 391:
Увеличить