Официальное опубликование правовых актов
ОФИЦИАЛЬНОЕ ОПУБЛИКОВАНИЕ
Постановление Правительства Ростовской области от 17.04.2026 № 335
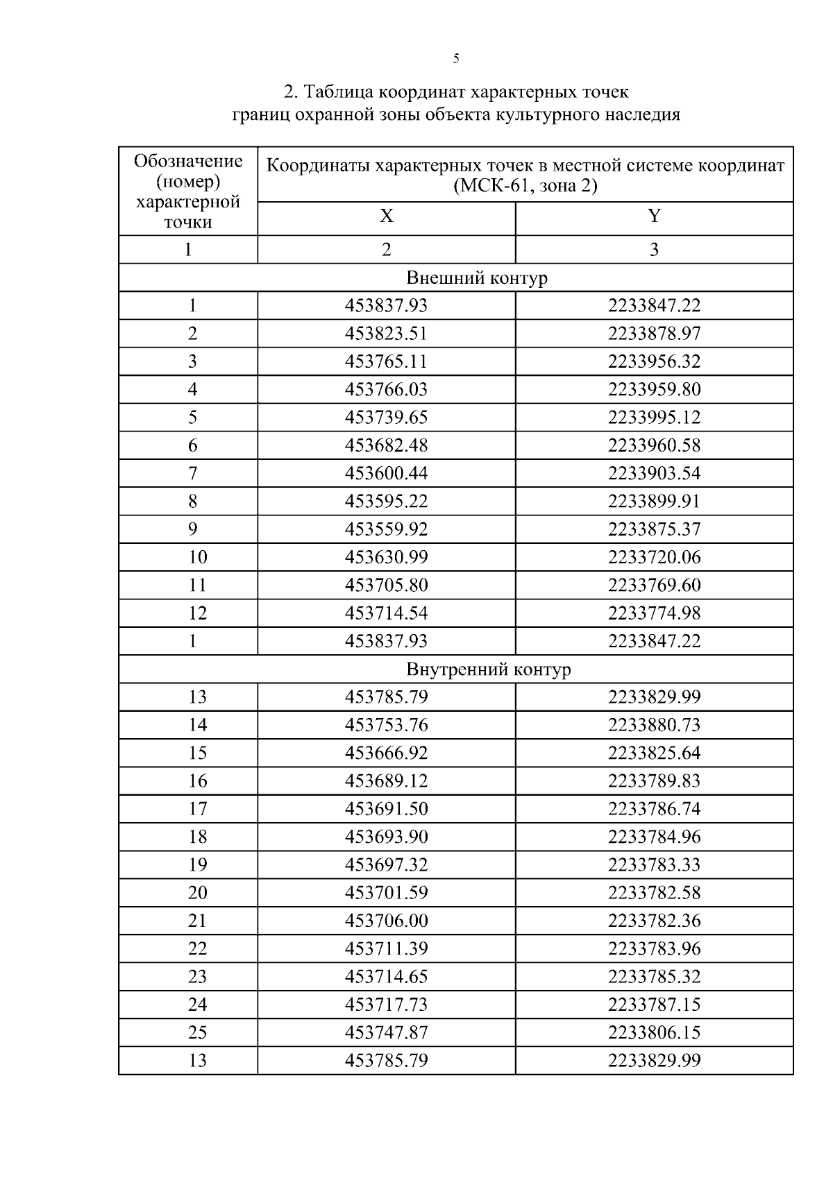
"Об установлении зон охраны объекта культурного наследия федерального значения "Главное здание Донского среднего сельскохозяйственного училища" и утверждении требований к градостроительным регламентам в границах территорий данных зон"
Номер опубликования: 6100202604210024
Дата опубликования: 21.04.2026
Страница №5 из 11:
Увеличить