Официальное опубликование правовых актов
ОФИЦИАЛЬНОЕ ОПУБЛИКОВАНИЕ
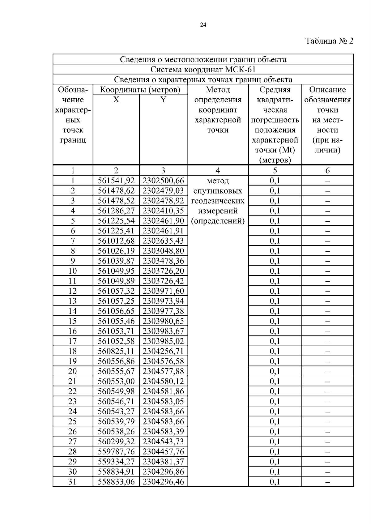
Постановление Правительства Ростовской области от 03.04.2026 № 295
"Об установлении публичного сервитута"
Номер опубликования: 6100202604070002
Дата опубликования: 07.04.2026
Страница №24 из 29:
Увеличить