Официальное опубликование правовых актов
ОФИЦИАЛЬНОЕ ОПУБЛИКОВАНИЕ
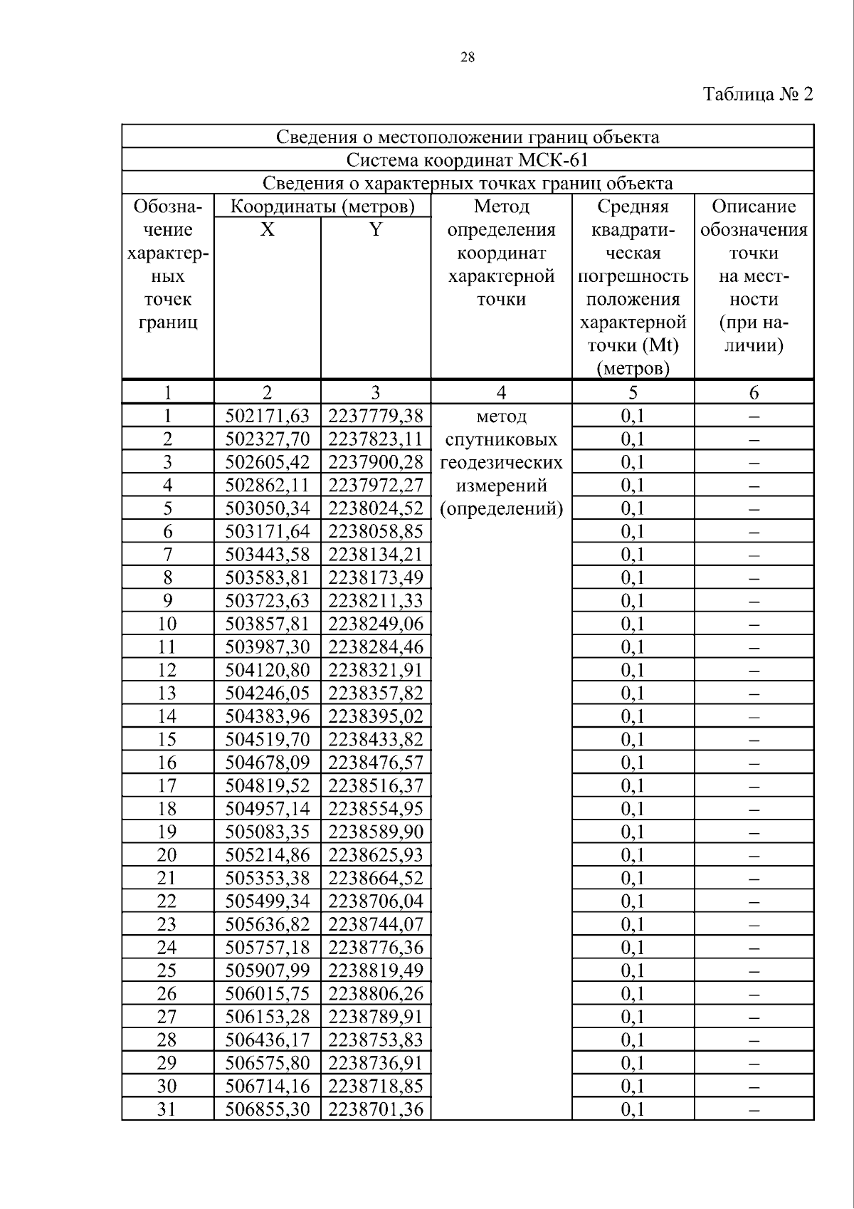
Постановление Правительства Ростовской области от 01.04.2026 № 290
"Об установлении публичного сервитута"
Номер опубликования: 6100202604020002
Дата опубликования: 02.04.2026
Страница №28 из 35:
Увеличить