Официальное опубликование правовых актов
ОФИЦИАЛЬНОЕ ОПУБЛИКОВАНИЕ
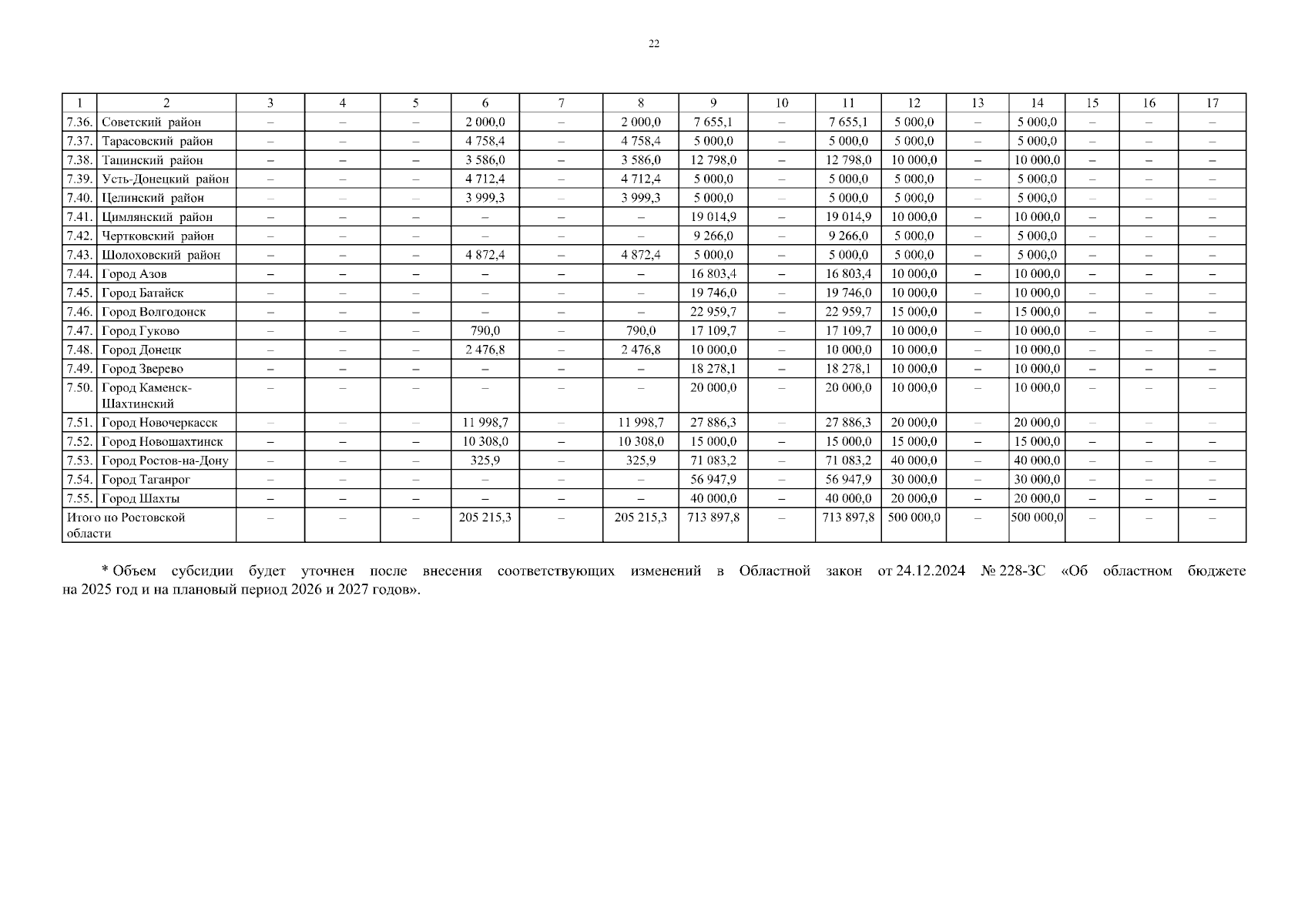
Постановление Правительства Ростовской области от 19.01.2026 № 31
"О внесении изменений в постановление Правительства Ростовской области от 31.08.2017 № 597"
Номер опубликования: 6100202601200013
Дата опубликования: 20.01.2026
Страница №22 из 75:
Увеличить