Официальное опубликование правовых актов
ОФИЦИАЛЬНОЕ ОПУБЛИКОВАНИЕ
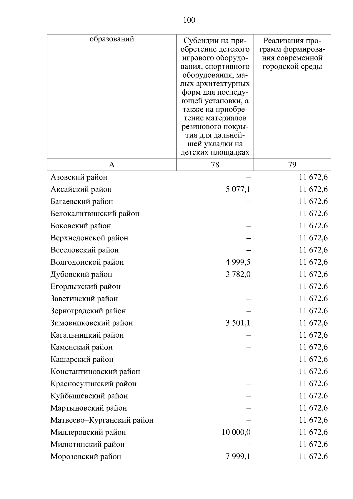
Областной закон Ростовской области от 23.12.2025 № 394-ЗС
"Об областном бюджете на 2026 год и на плановый период 2027 и 2028 годов"
Номер опубликования: 6100202512230026
Дата опубликования: 23.12.2025
Страница №1382 из 1670:
Увеличить