Официальное опубликование правовых актов
ОФИЦИАЛЬНОЕ ОПУБЛИКОВАНИЕ
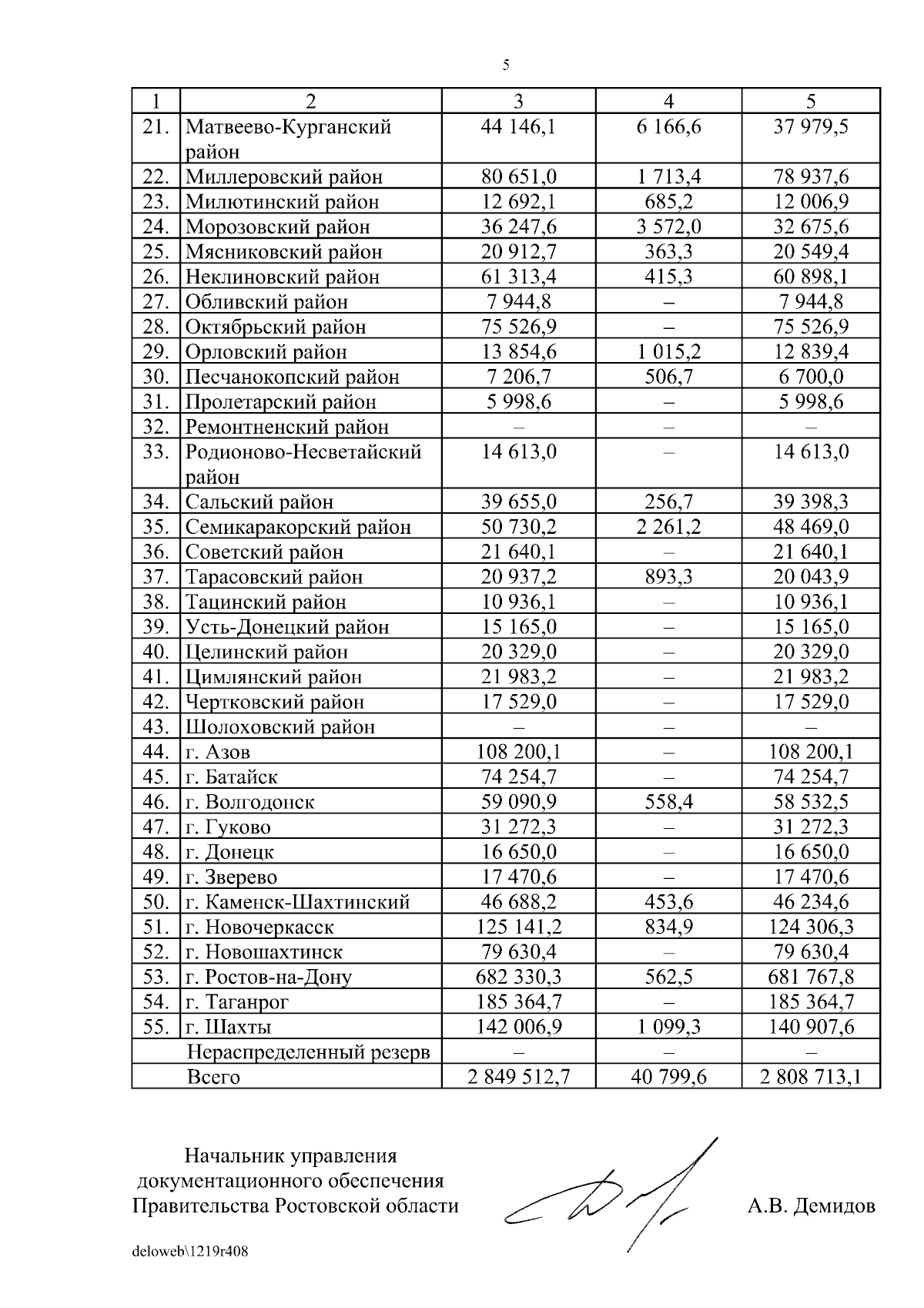
Распоряжение Правительства Ростовской области от 19.12.2025 № 408
"О перераспределении бюджетных ассигнований и о внесении изменений в распределение субвенции"
Номер опубликования: 6100202512230010
Дата опубликования: 23.12.2025
Страница №5 из 5:
Увеличить