Официальное опубликование правовых актов
ОФИЦИАЛЬНОЕ ОПУБЛИКОВАНИЕ
Распоряжение Губернатора Ростовской области от 30.09.2025 № 7
"О внесении изменений в распоряжение Губернатора Ростовской области от 25.04.2018 № 100"
Номер опубликования: 6100202510010009
Дата опубликования: 01.10.2025
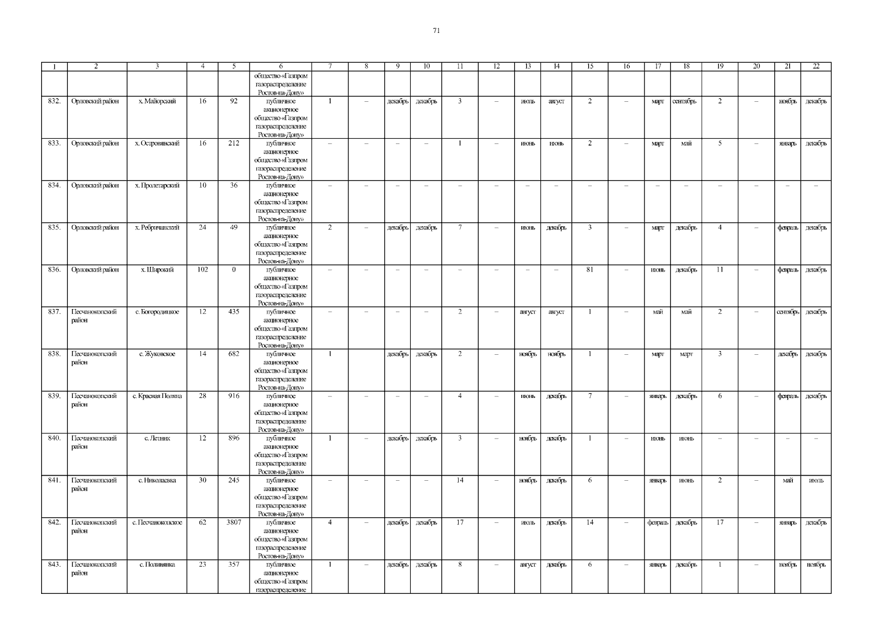
Страница №71 из 4296:
Увеличить