Официальное опубликование правовых актов
ОФИЦИАЛЬНОЕ ОПУБЛИКОВАНИЕ
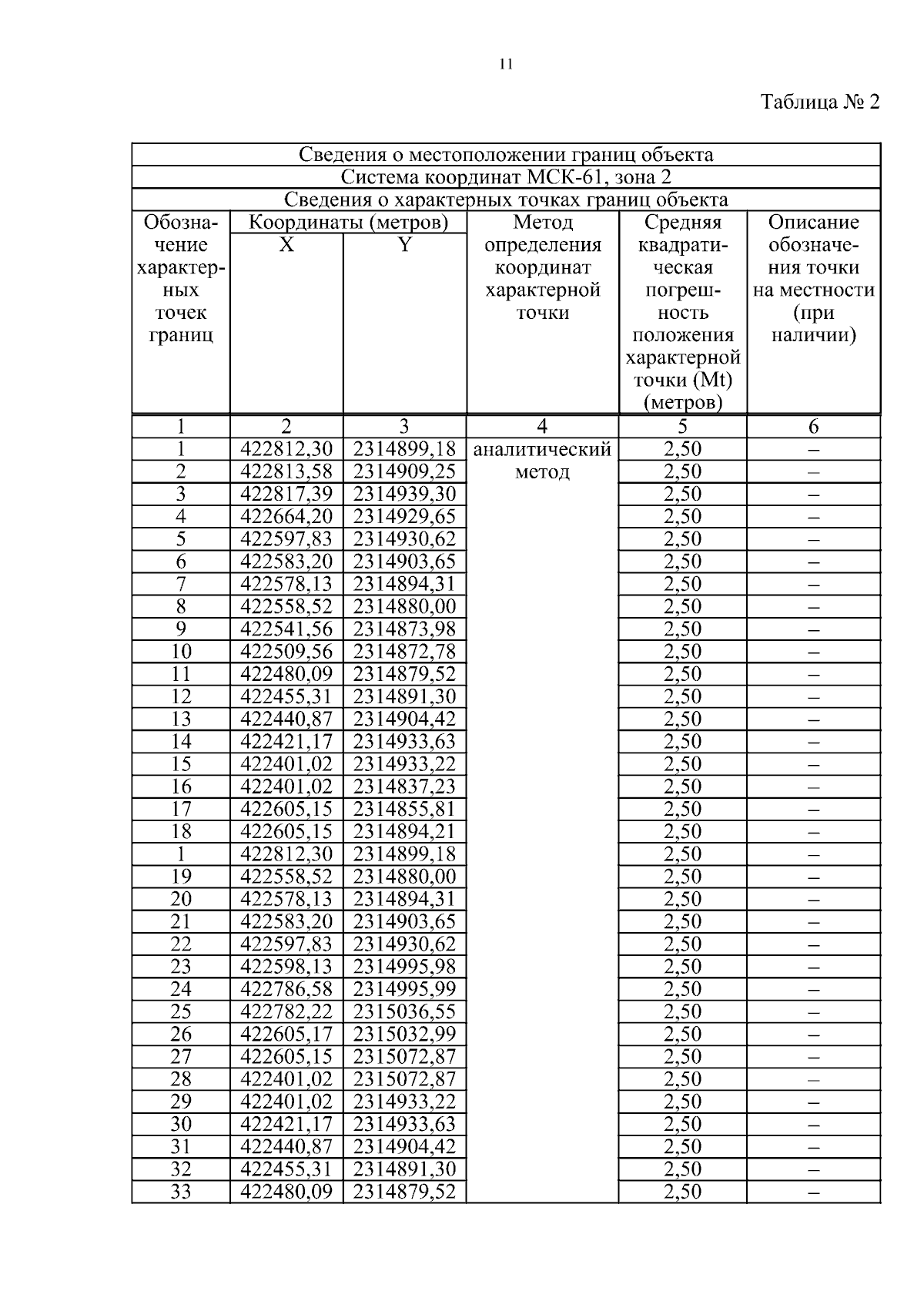
Постановление Правительства Ростовской области от 18.09.2025 № 693
"Об установлении публичного сервитута"
Номер опубликования: 6100202509190008
Дата опубликования: 19.09.2025
Страница №11 из 13:
Увеличить