Официальное опубликование правовых актов
ОФИЦИАЛЬНОЕ ОПУБЛИКОВАНИЕ
Распоряжение Правительства Ростовской области от 15.09.2025 № 925
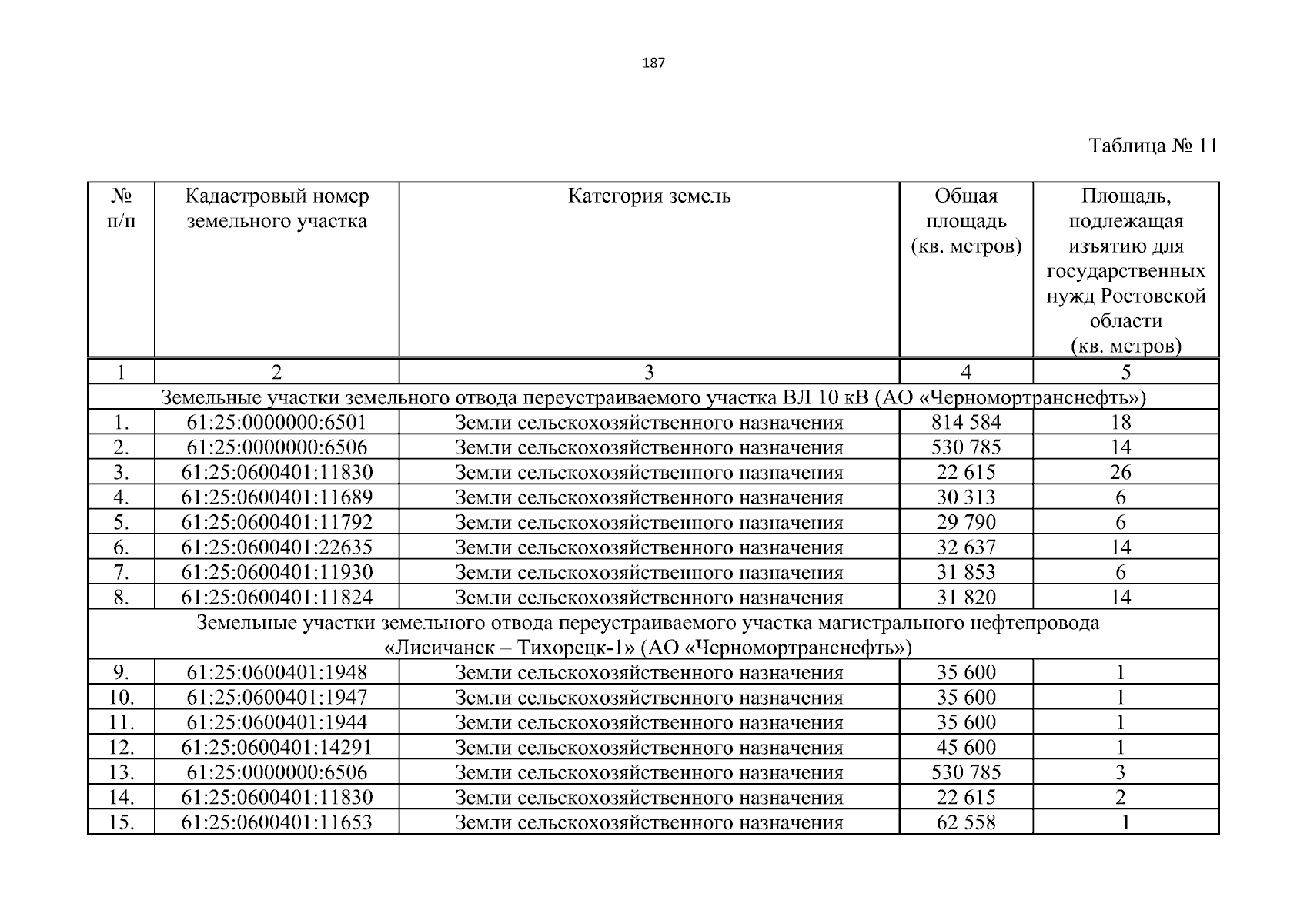
"Об утверждении изменений в проект планировки и проект межевания территории размещения автомобильной дороги общего пользования регионального значения "Северный обход г. Ростова-на-Дону" на участке а/д "г. Ростов-на-Дону – сл. Родионово-Несветайская – г. Новошахтинск" – а/д "г. Ростов-на-Дону – г. Таганрог"
Номер опубликования: 6100202509170003
Дата опубликования: 17.09.2025
Страница №187 из 249:
Увеличить