Официальное опубликование правовых актов
ОФИЦИАЛЬНОЕ ОПУБЛИКОВАНИЕ
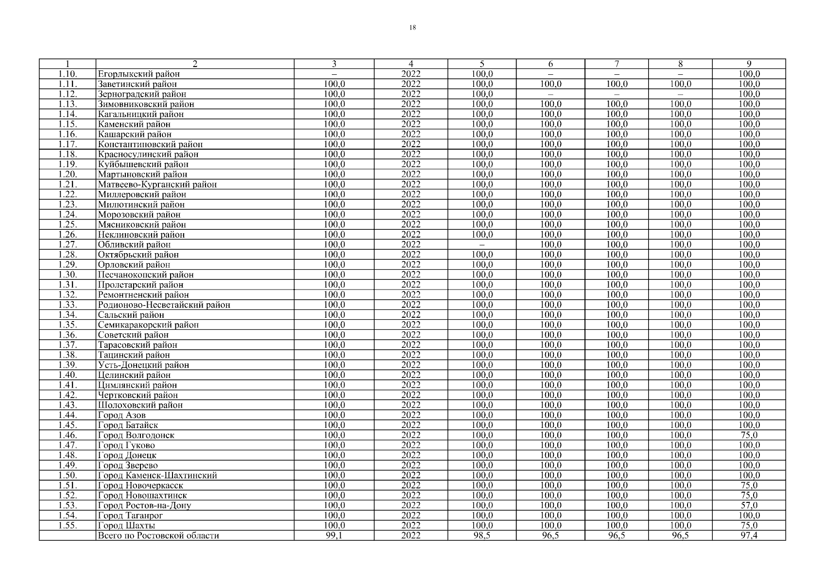
Постановление Правительства Ростовской области от 08.09.2025 № 658
"О внесении изменений в постановление Правительства Ростовской области от 17.10.2018 № 642"
Номер опубликования: 6100202509100008
Дата опубликования: 10.09.2025
Страница №18 из 68:
Увеличить