Официальное опубликование правовых актов
ОФИЦИАЛЬНОЕ ОПУБЛИКОВАНИЕ
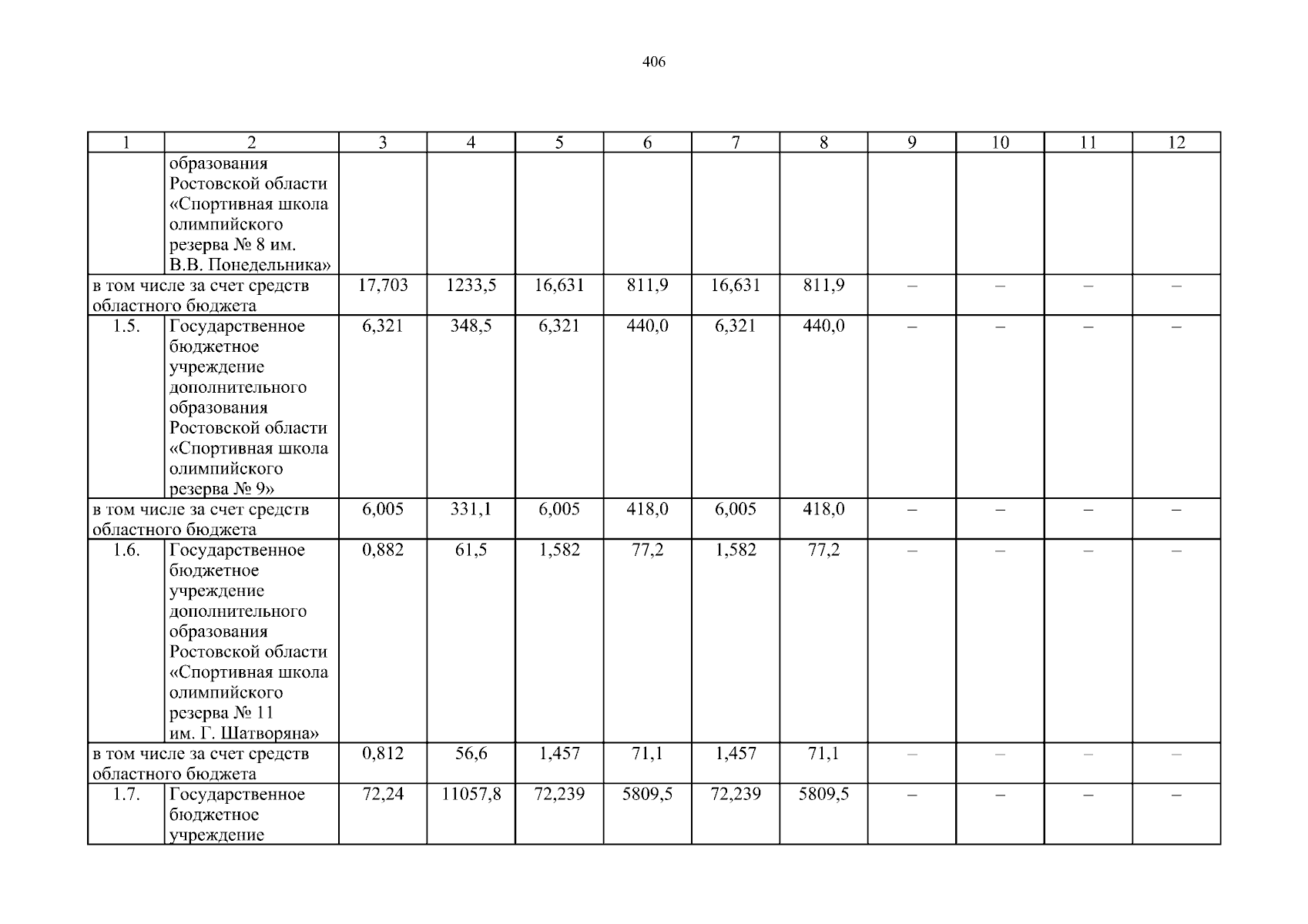
Распоряжение Правительства Ростовской области от 08.09.2025 № 890
"О прогнозных объемах финансирования и лимитах потребления на услуги по водоснабжению, водоотведению и вывозу жидких бытовых отходов на 2026 год и плановый период 2027 и 2028 годов"
Номер опубликования: 6100202509100001
Дата опубликования: 10.09.2025
Страница №406 из 679:
Увеличить