Официальное опубликование правовых актов
ОФИЦИАЛЬНОЕ ОПУБЛИКОВАНИЕ
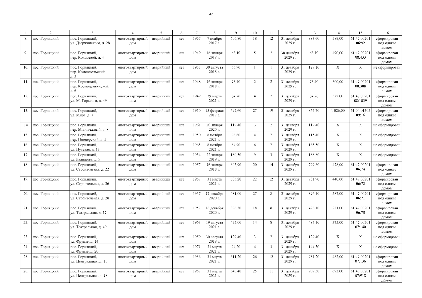
Постановление Правительства Ростовской области от 07.07.2025 № 499
"О внесении изменений в постановление Правительства Ростовской области от 30.10.2023 № 776"
Номер опубликования: 6100202507090009
Дата опубликования: 09.07.2025
Страница №42 из 85:
Увеличить