Официальное опубликование правовых актов
ОФИЦИАЛЬНОЕ ОПУБЛИКОВАНИЕ
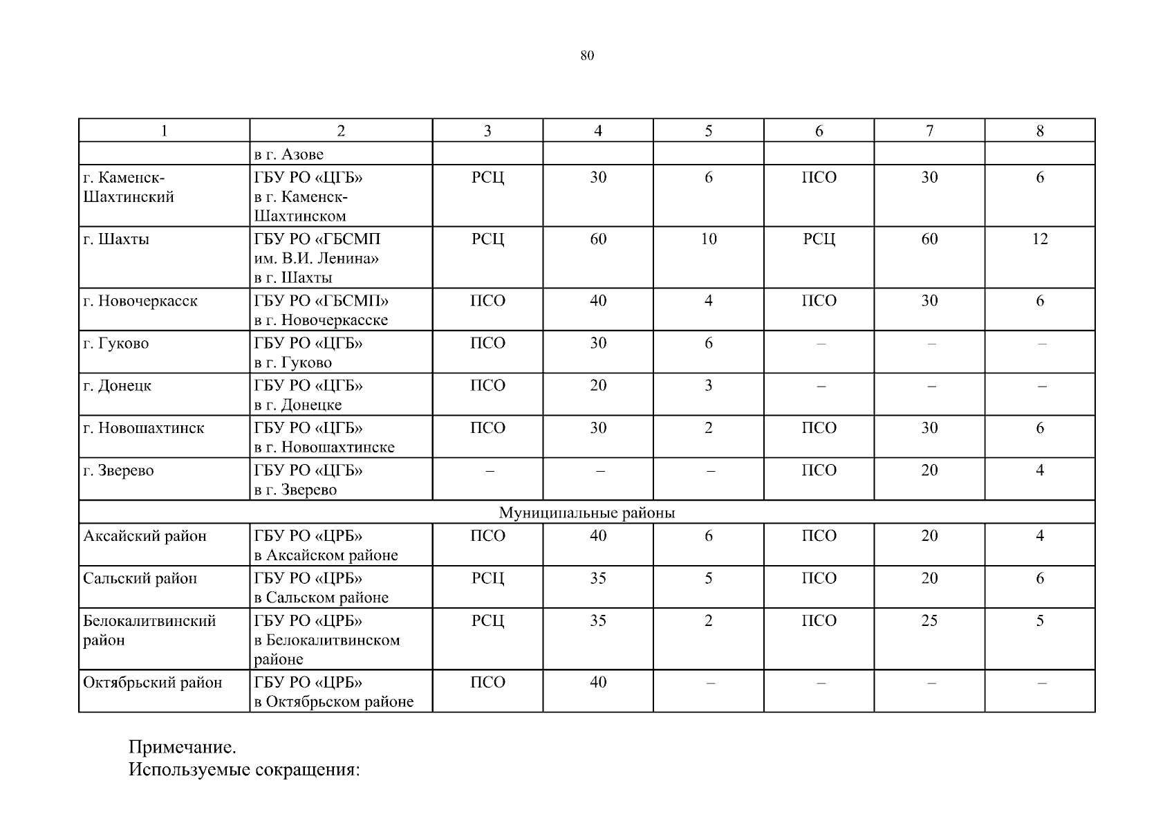
Постановление Правительства Ростовской области от 26.06.2025 № 461
"Об утверждении региональной программы "Борьба с сердечно-сосудистыми заболеваниями (Ростовская область)"
Номер опубликования: 6100202506300001
Дата опубликования: 30.06.2025
Страница №80 из 287:
Увеличить