Официальное опубликование правовых актов
ОФИЦИАЛЬНОЕ ОПУБЛИКОВАНИЕ
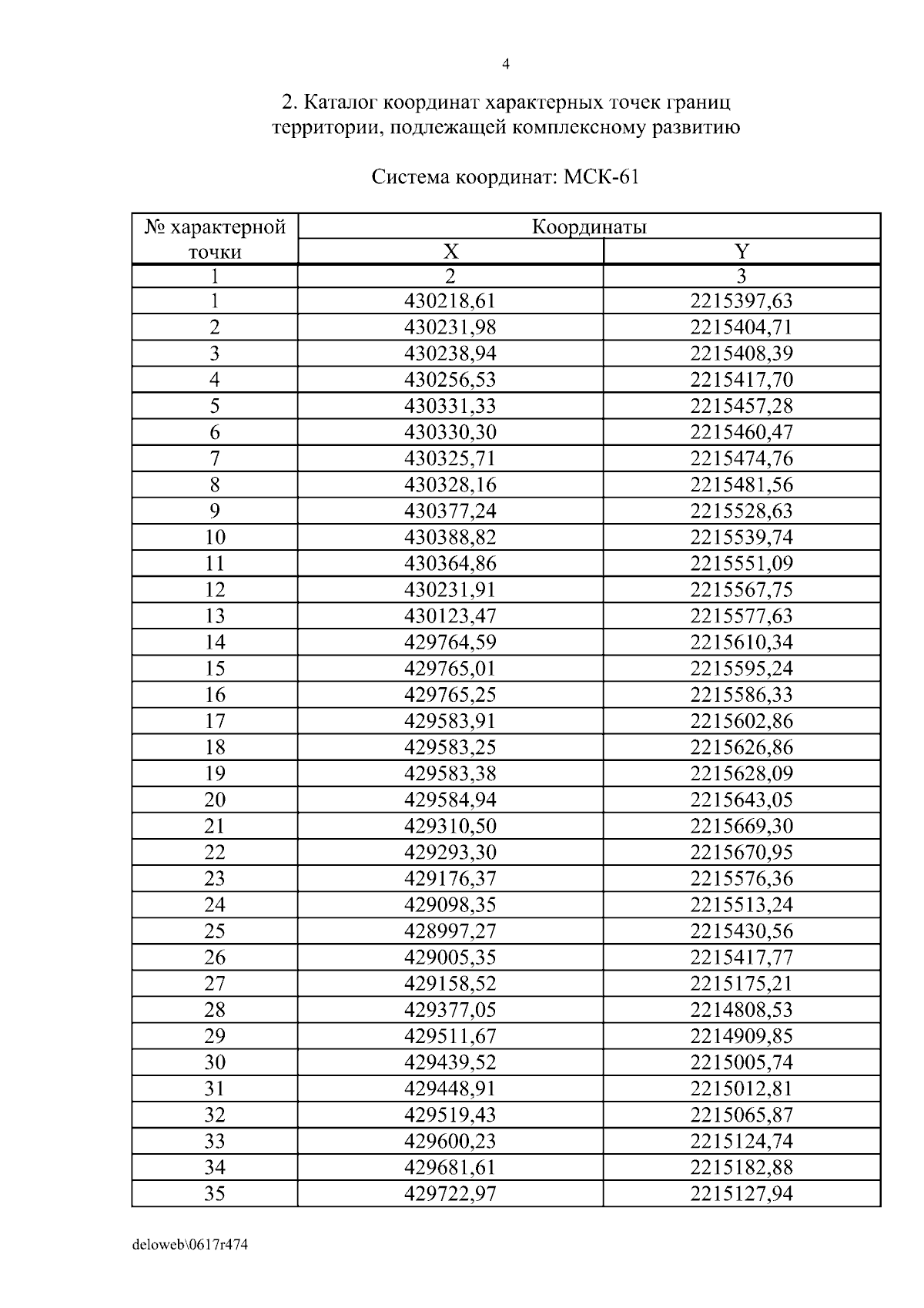
Распоряжение Правительства Ростовской области от 17.06.2025 № 474
"О заключении договора о комплексном развитии территории, расположенной в границах муниципального образования "Аксайское городское поселение" Аксайского района Ростовской области"
Номер опубликования: 6100202506180006
Дата опубликования: 18.06.2025
Страница №4 из 5:
Увеличить