Официальное опубликование правовых актов
ОФИЦИАЛЬНОЕ ОПУБЛИКОВАНИЕ
Постановление Правительства Ростовской области от 14.04.2025 № 287
"О внесении изменений в постановление Правительства Ростовской области от 22.01.2025 № 23"
Номер опубликования: 6100202504150014
Дата опубликования: 15.04.2025
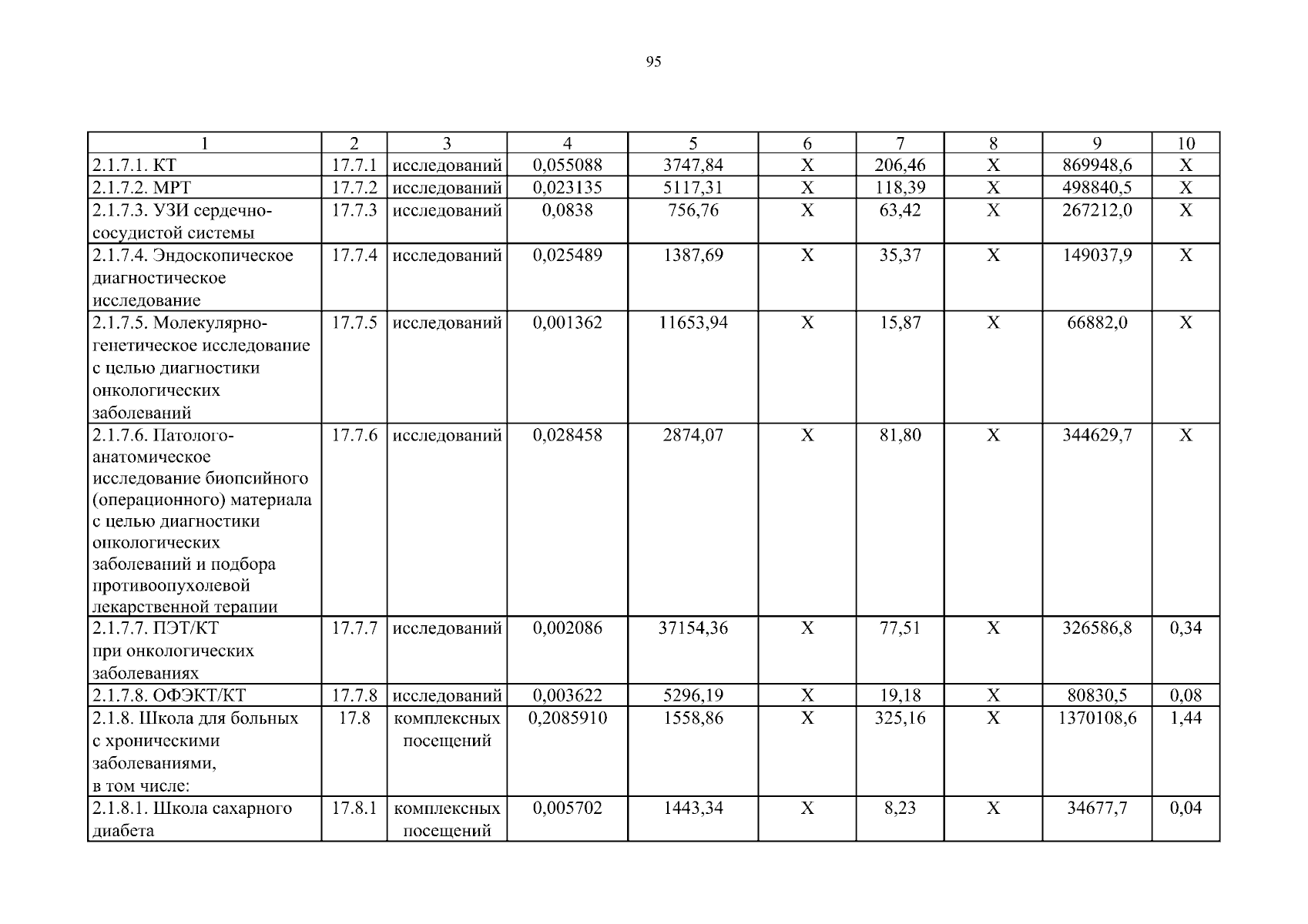
Страница №95 из 399:
Увеличить