Официальное опубликование правовых актов
ОФИЦИАЛЬНОЕ ОПУБЛИКОВАНИЕ
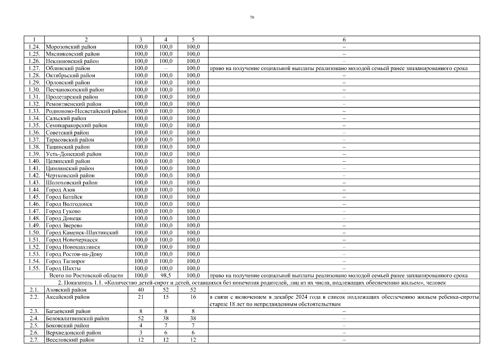
Постановление Правительства Ростовской области от 25.03.2025 № 211
"Об утверждении отчета о реализации государственной программы Ростовской области"Территориальное планирование и обеспечение доступным и комфортным жильем населения Ростовской области", утвержденной постановлением Правительства Ростовской области от 17.10.2018 № 642, за 2024 год"
Номер опубликования: 6100202503270013
Дата опубликования: 27.03.2025
Страница №70 из 75:
Увеличить