Официальное опубликование правовых актов
ОФИЦИАЛЬНОЕ ОПУБЛИКОВАНИЕ
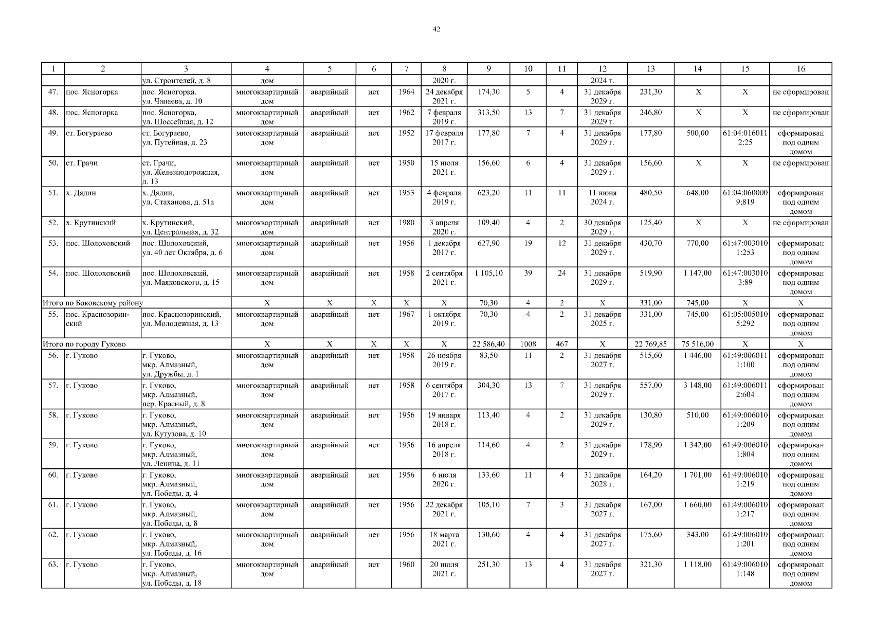
Постановление Правительства Ростовской области от 03.02.2025 № 69
"О внесении изменения в постановление Правительства Ростовской области от 30.10.2023 № 776"
Номер опубликования: 6100202502040003
Дата опубликования: 04.02.2025
Страница №42 из 83:
Увеличить