Официальное опубликование правовых актов
ОФИЦИАЛЬНОЕ ОПУБЛИКОВАНИЕ
Постановление Правительства Ростовской области от 13.01.2025 № 18
"О внесении изменений в постановление Правительства Ростовской области от 25.12.2023 № 954"
Номер опубликования: 6100202501150016
Дата опубликования: 15.01.2025
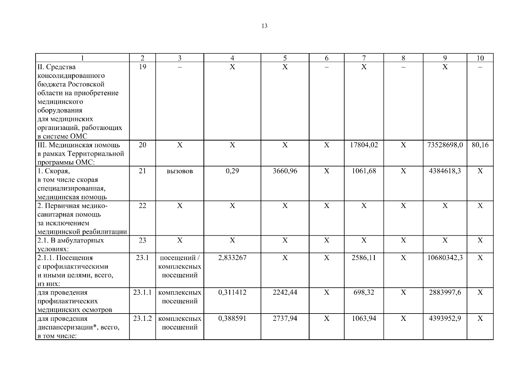
Страница №13 из 74:
Увеличить