Официальное опубликование правовых актов
ОФИЦИАЛЬНОЕ ОПУБЛИКОВАНИЕ
Распоряжение Губернатора Ростовской области от 27.12.2024 № 53
"О внесении изменения в распоряжение Губернатора Ростовской области от 25.04.2018 № 100"
Номер опубликования: 6100202412280001
Дата опубликования: 28.12.2024
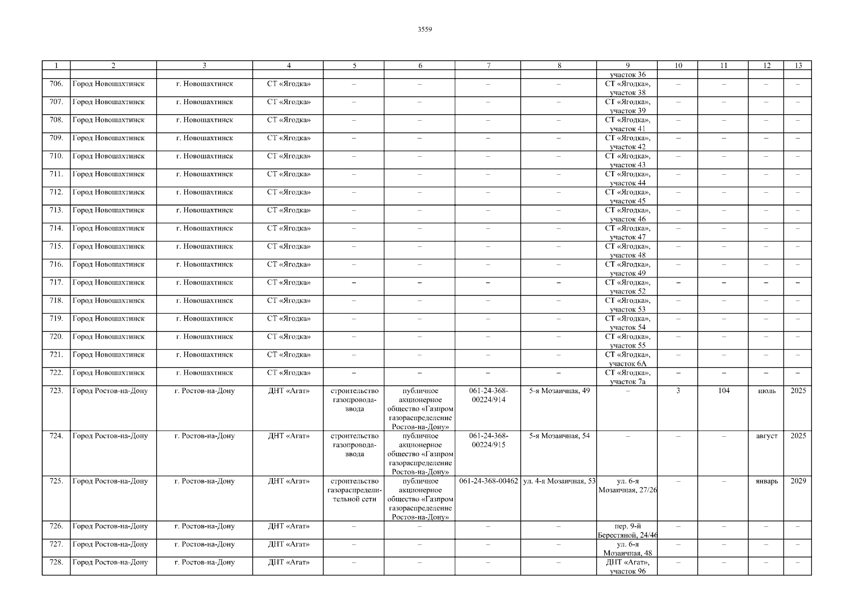
Страница №3559 из 3627:
Увеличить