Официальное опубликование правовых актов
ОФИЦИАЛЬНОЕ ОПУБЛИКОВАНИЕ
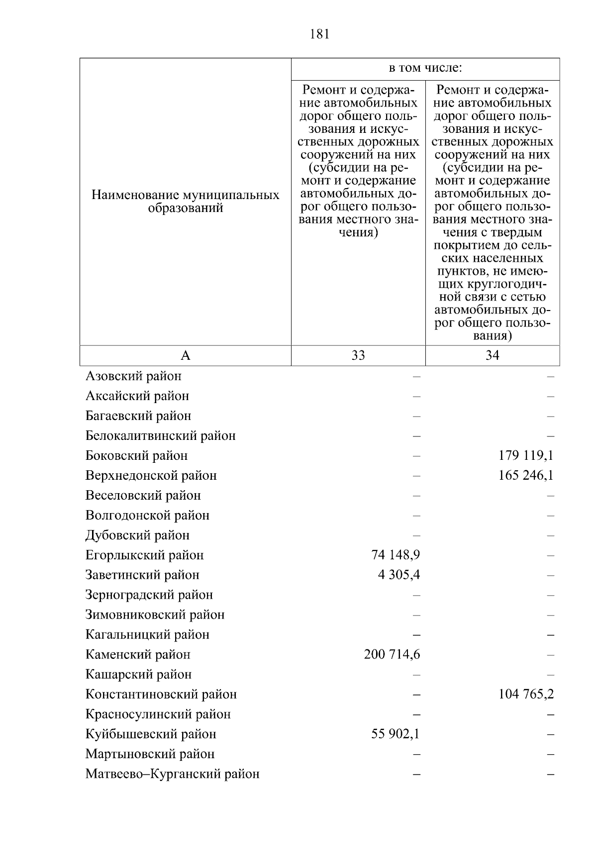
Областной закон Ростовской области от 24.12.2024 № 228-ЗС
"Об областном бюджете на 2025 год и на плановый период 2026 и 2027 годов"
Номер опубликования: 6100202412240004
Дата опубликования: 24.12.2024
Страница №1474 из 1703:
Увеличить