Официальное опубликование правовых актов
ОФИЦИАЛЬНОЕ ОПУБЛИКОВАНИЕ
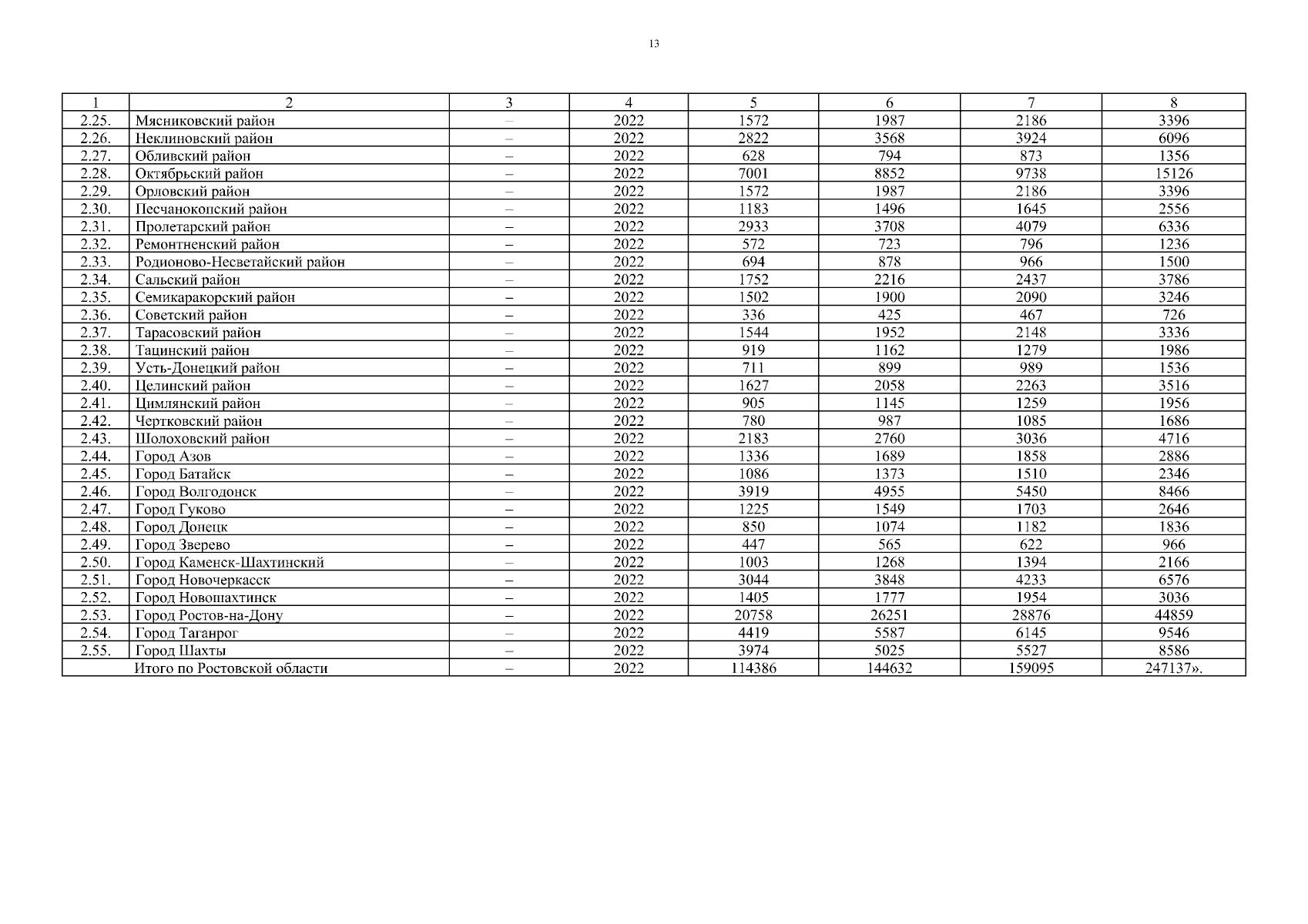
Постановление Правительства Ростовской области от 03.12.2024 № 65
"О внесении изменений в постановление Правительства Ростовской области от 17.10.2018 № 653"
Номер опубликования: 6100202412050006
Дата опубликования: 05.12.2024
Страница №13 из 62:
Увеличить