Официальное опубликование правовых актов
ОФИЦИАЛЬНОЕ ОПУБЛИКОВАНИЕ
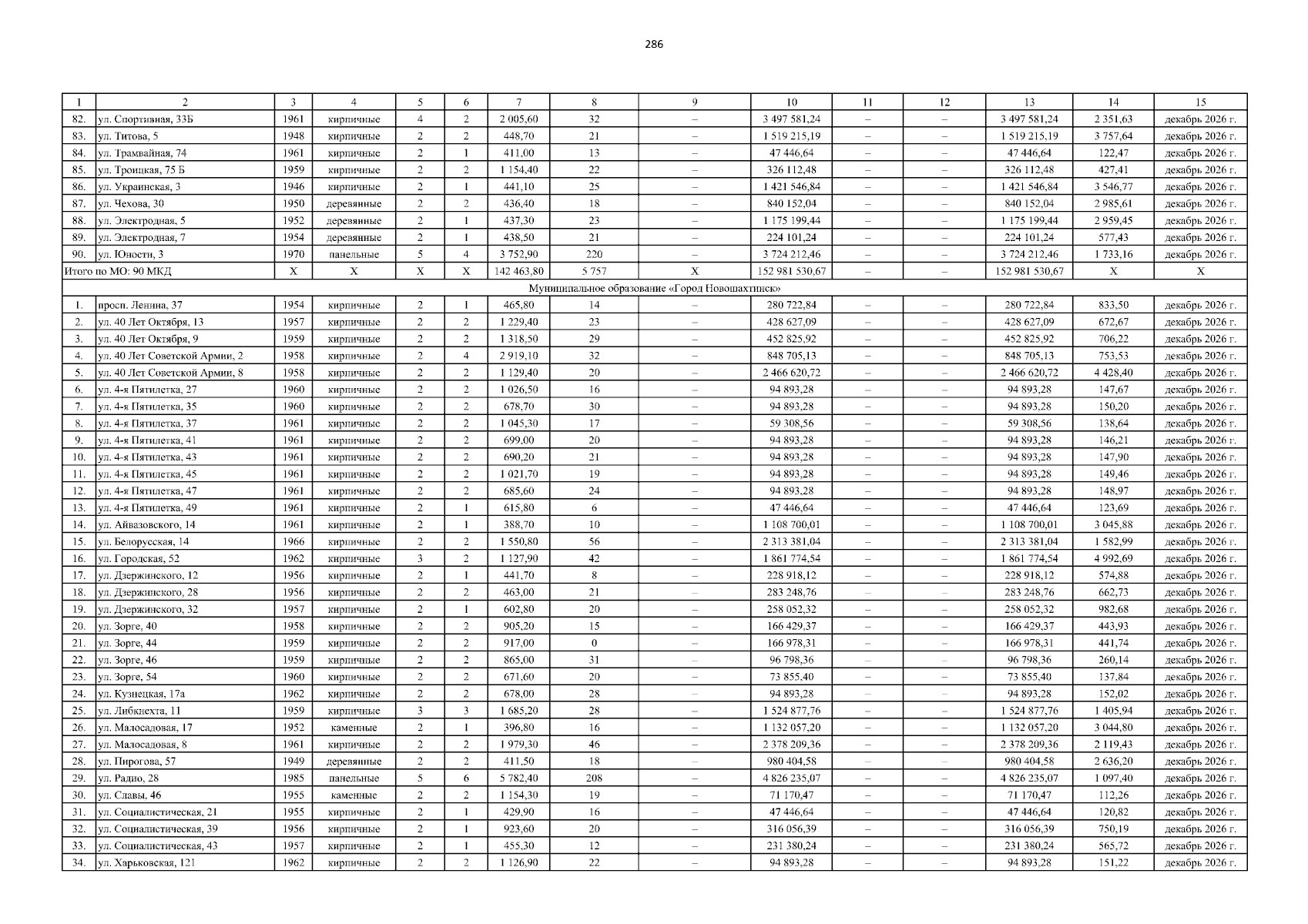
Постановление Правительства Ростовской области от 14.10.2024 № 703
"О внесении изменений в постановление Правительства Ростовской области от 22.12.2023 № 947"
Номер опубликования: 6100202410160022
Дата опубликования: 16.10.2024
Страница №286 из 396:
Увеличить