Официальное опубликование правовых актов
ОФИЦИАЛЬНОЕ ОПУБЛИКОВАНИЕ
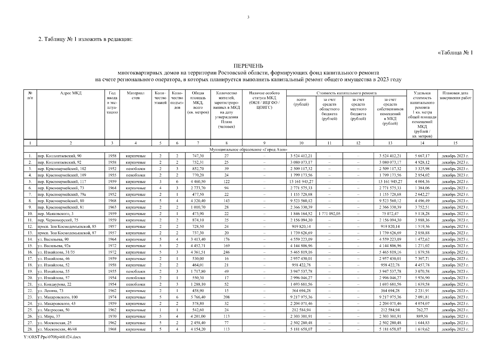
Постановление Правительства Ростовской области от 08.07.2024 № 460
"О внесении изменений в постановление Правительства Ростовской области от 29.12.2022 № 1198"
Номер опубликования: 6100202407100018
Дата опубликования: 10.07.2024
Страница №3 из 112:
Увеличить