Официальное опубликование правовых актов
ОФИЦИАЛЬНОЕ ОПУБЛИКОВАНИЕ
Постановление Правительства Ростовской области от 01.07.2024 № 418
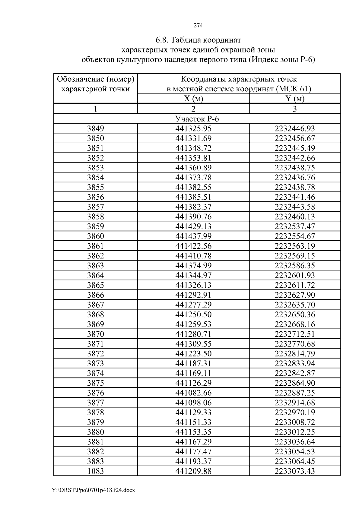
"Об установлении объединенной зоны охраны объектов культурного наследия города Новочеркасска Ростовской области и утверждении требований к градостроительным регламентам в границах территорий данной зоны"
Номер опубликования: 6100202407030026
Дата опубликования: 03.07.2024
Страница №274 из 314:
Увеличить