Официальное опубликование правовых актов
ОФИЦИАЛЬНОЕ ОПУБЛИКОВАНИЕ
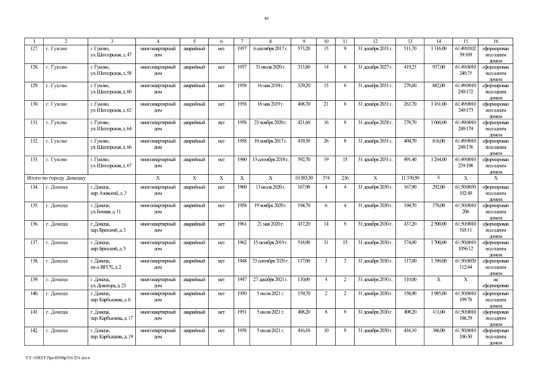
Постановление Правительства Ростовской области от 08.05.2024 № 301
"О внесении изменения в постановление Правительства Ростовской области от 30.10.2023 № 776"
Номер опубликования: 6100202405140011
Дата опубликования: 14.05.2024
Страница №46 из 83:
Увеличить