Официальное опубликование правовых актов
ОФИЦИАЛЬНОЕ ОПУБЛИКОВАНИЕ
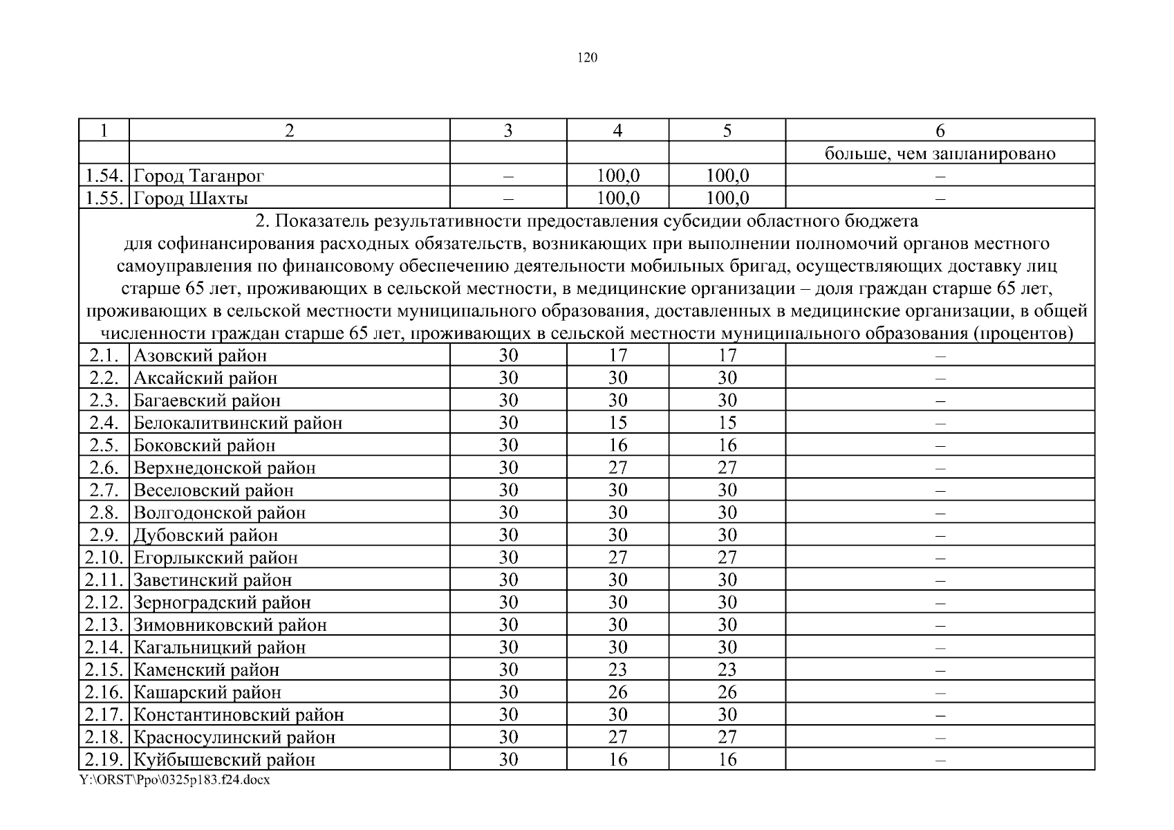
Постановление Правительства Ростовской области от 25.03.2024 № 183
"Об утверждении отчета о реализации государственной программы Ростовской области "Социальная поддержка граждан" за 2023 год"
Номер опубликования: 6100202403270013
Дата опубликования: 27.03.2024
Страница №120 из 123:
Увеличить