Официальное опубликование правовых актов
ОФИЦИАЛЬНОЕ ОПУБЛИКОВАНИЕ
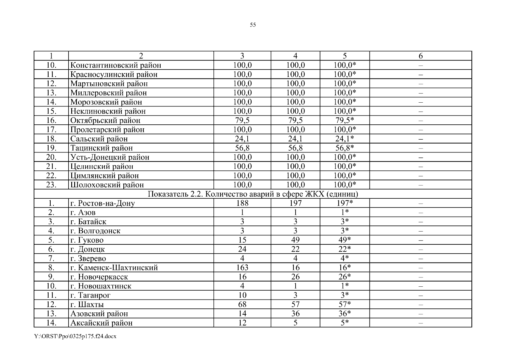
Постановление Правительства Ростовской области от 25.03.2024 № 175
"Об утверждении отчета о реализации государственной программы Ростовской области "Обеспечение качественными жилищно-коммунальными услугами населения Ростовской области" за 2023 год"
Номер опубликования: 6100202403270005
Дата опубликования: 27.03.2024
Страница №55 из 61:
Увеличить