Официальное опубликование правовых актов
ОФИЦИАЛЬНОЕ ОПУБЛИКОВАНИЕ
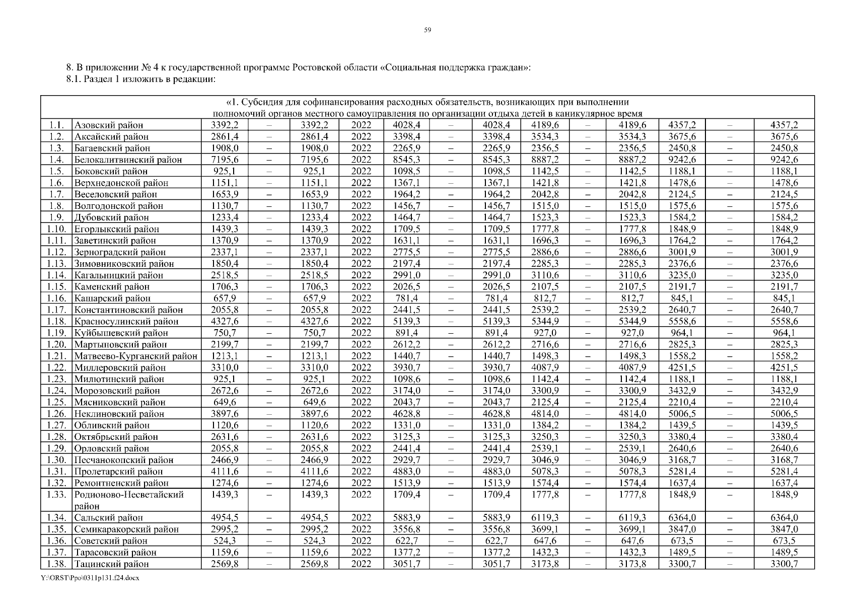
Постановление Правительства Ростовской области от 11.03.2024 № 131
"О внесении изменений в постановление Правительства Ростовской области от 17.10.2018 № 643"
Номер опубликования: 6100202403130015
Дата опубликования: 13.03.2024
Страница №59 из 60:
Увеличить