Официальное опубликование правовых актов
ОФИЦИАЛЬНОЕ ОПУБЛИКОВАНИЕ
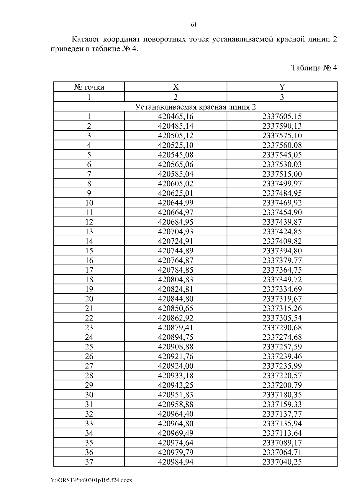
Постановление Правительства Ростовской области от 01.03.2024 № 105
"Об утверждении проекта планировки и проекта межевания территории размещения линейного объекта "Реконструкция Донского магистрального канала (2-ая очередь II этап реконструкции), Мартыновский район, Волгодонской район, Ростовская область"
Номер опубликования: 6100202403040002
Дата опубликования: 04.03.2024
Страница №61 из 119:
Увеличить