Официальное опубликование правовых актов
ОФИЦИАЛЬНОЕ ОПУБЛИКОВАНИЕ
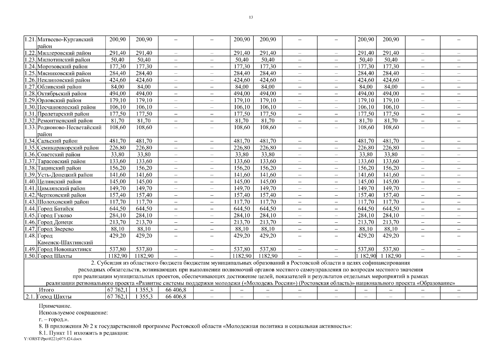
Постановление Правительства Ростовской области от 21.02.2024 № 75
"О внесении изменений в постановление Правительства Ростовской области от 19.10.2020 № 100"
Номер опубликования: 6100202402260007
Дата опубликования: 26.02.2024
Страница №13 из 16:
Увеличить