Официальное опубликование правовых актов
ОФИЦИАЛЬНОЕ ОПУБЛИКОВАНИЕ
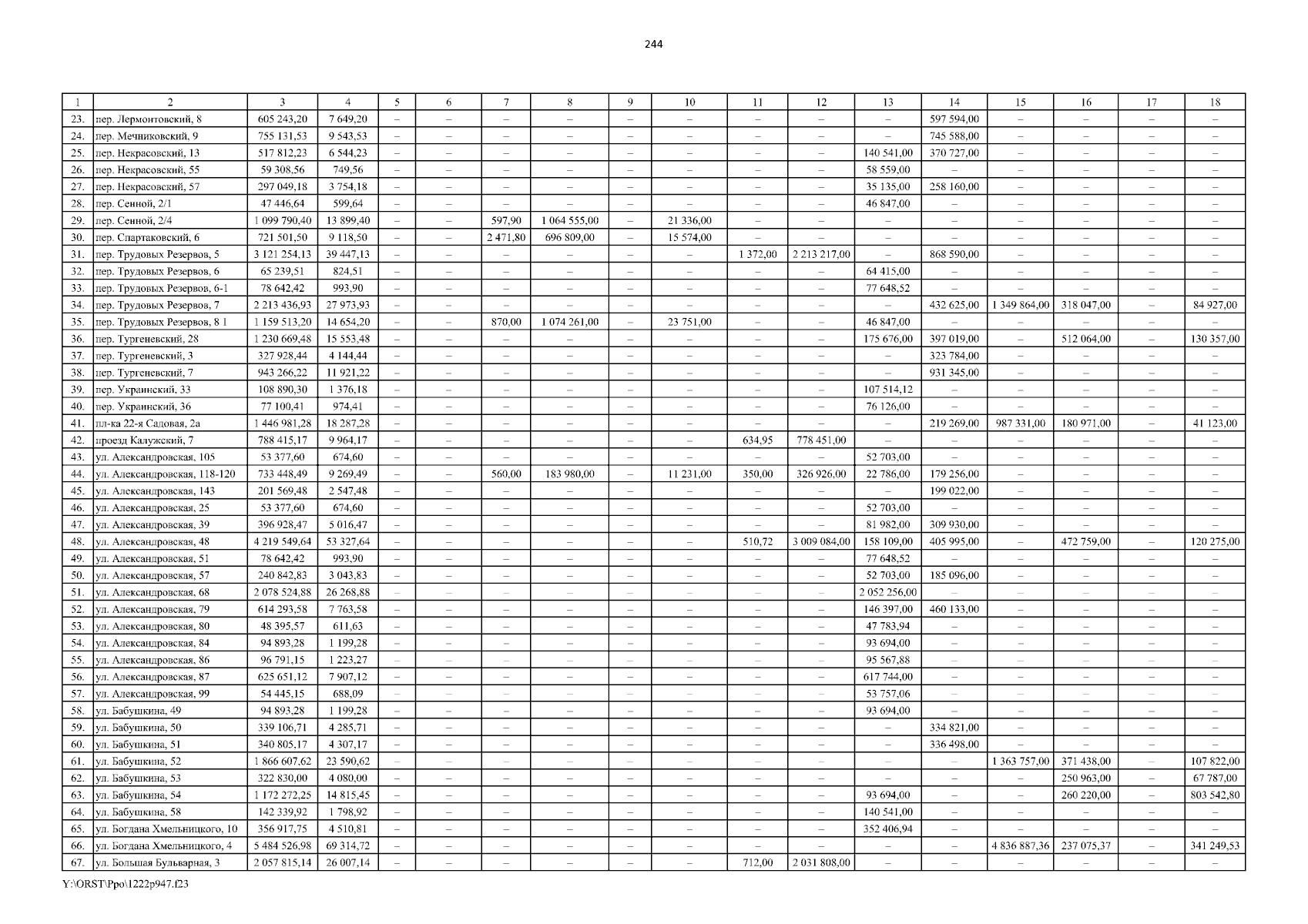
Постановление Правительства Ростовской области от 22.12.2023 № 947
"Об утверждении краткосрочного плана реализации Региональной программы по проведению капитального ремонта общего имущества в многоквартирных домах на территории Ростовской области на 2014 ‒ 2049 годы на 2024 год и плановый период 2025 и 2026 годов"
Номер опубликования: 6100202312260010
Дата опубликования: 26.12.2023
Страница №244 из 394:
Увеличить