Официальное опубликование правовых актов
ОФИЦИАЛЬНОЕ ОПУБЛИКОВАНИЕ
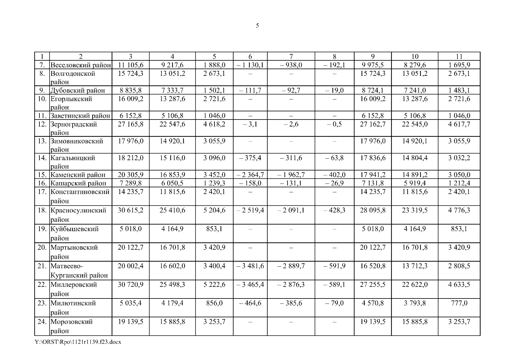
Распоряжение Правительства Ростовской области от 21.11.2023 № 1139
"О перераспределении бюджетных ассигнований"
Номер опубликования: 6100202311230002
Дата опубликования: 23.11.2023
Страница №5 из 7:
Увеличить