Официальное опубликование правовых актов
ОФИЦИАЛЬНОЕ ОПУБЛИКОВАНИЕ
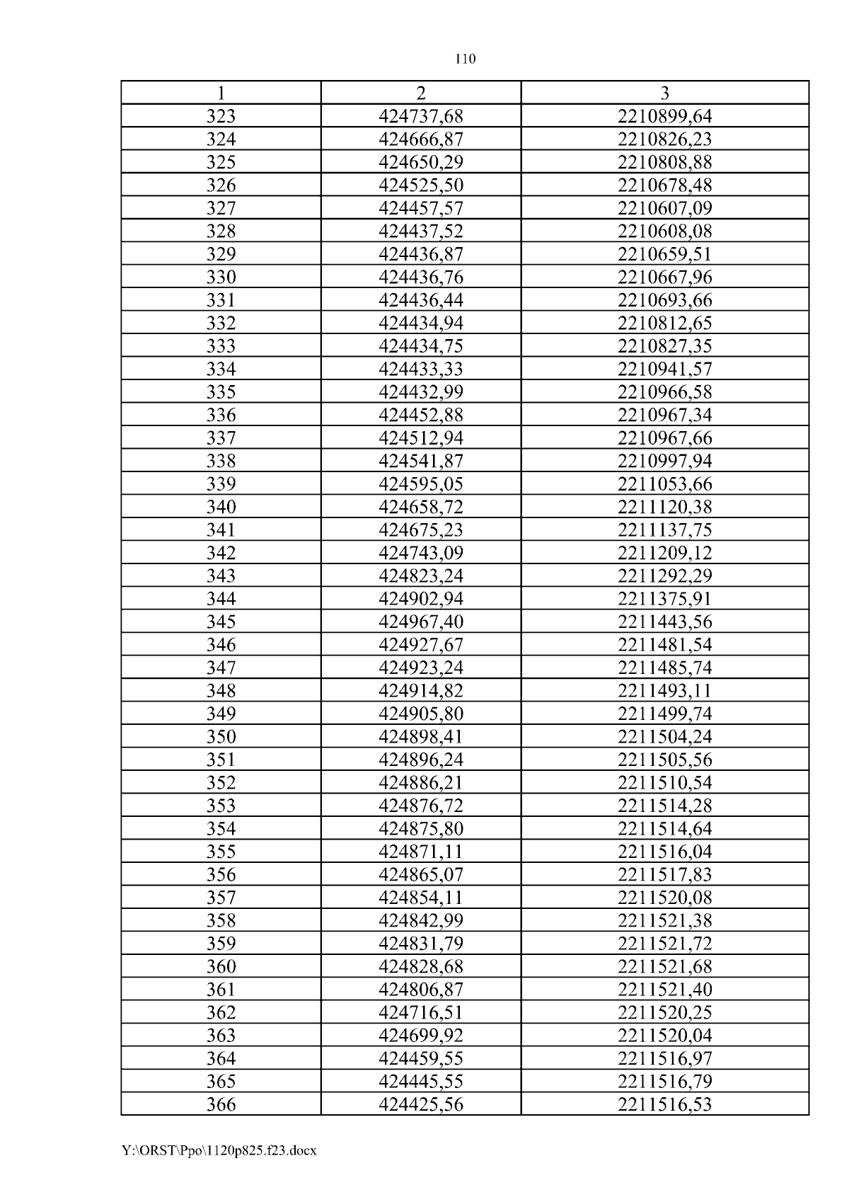
Постановление Правительства Ростовской области от 20.11.2023 № 825
"Об утверждении изменений в документацию по планировке территории, расположенной в границах муниципальных образований "Город Ростов-на-Дону" и "Аксайское городское поселение" общей площадью 367,86 гектара, подлежащей комплексному развитию в соответствии с решением о комплексном развитии территории"
Номер опубликования: 6100202311220009
Дата опубликования: 22.11.2023
Страница №110 из 364:
Увеличить