Официальное опубликование правовых актов
ОФИЦИАЛЬНОЕ ОПУБЛИКОВАНИЕ
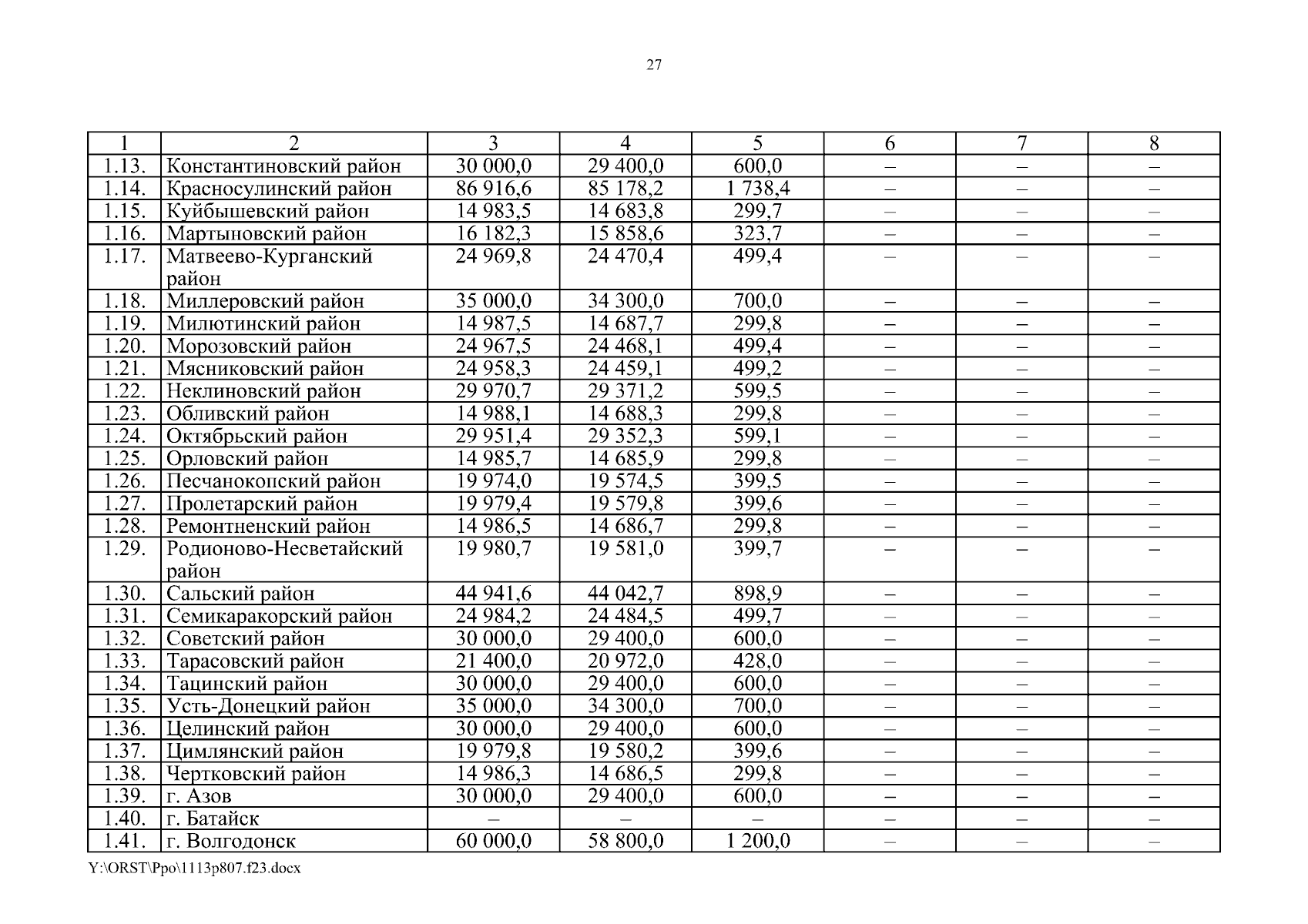
Постановление Правительства Ростовской области от 13.11.2023 № 807
"О внесении изменений в постановление Правительства Ростовской области от 31.08.2017 № 597"
Номер опубликования: 6100202311160009
Дата опубликования: 16.11.2023
Страница №27 из 80:
Увеличить