Официальное опубликование правовых актов
ОФИЦИАЛЬНОЕ ОПУБЛИКОВАНИЕ
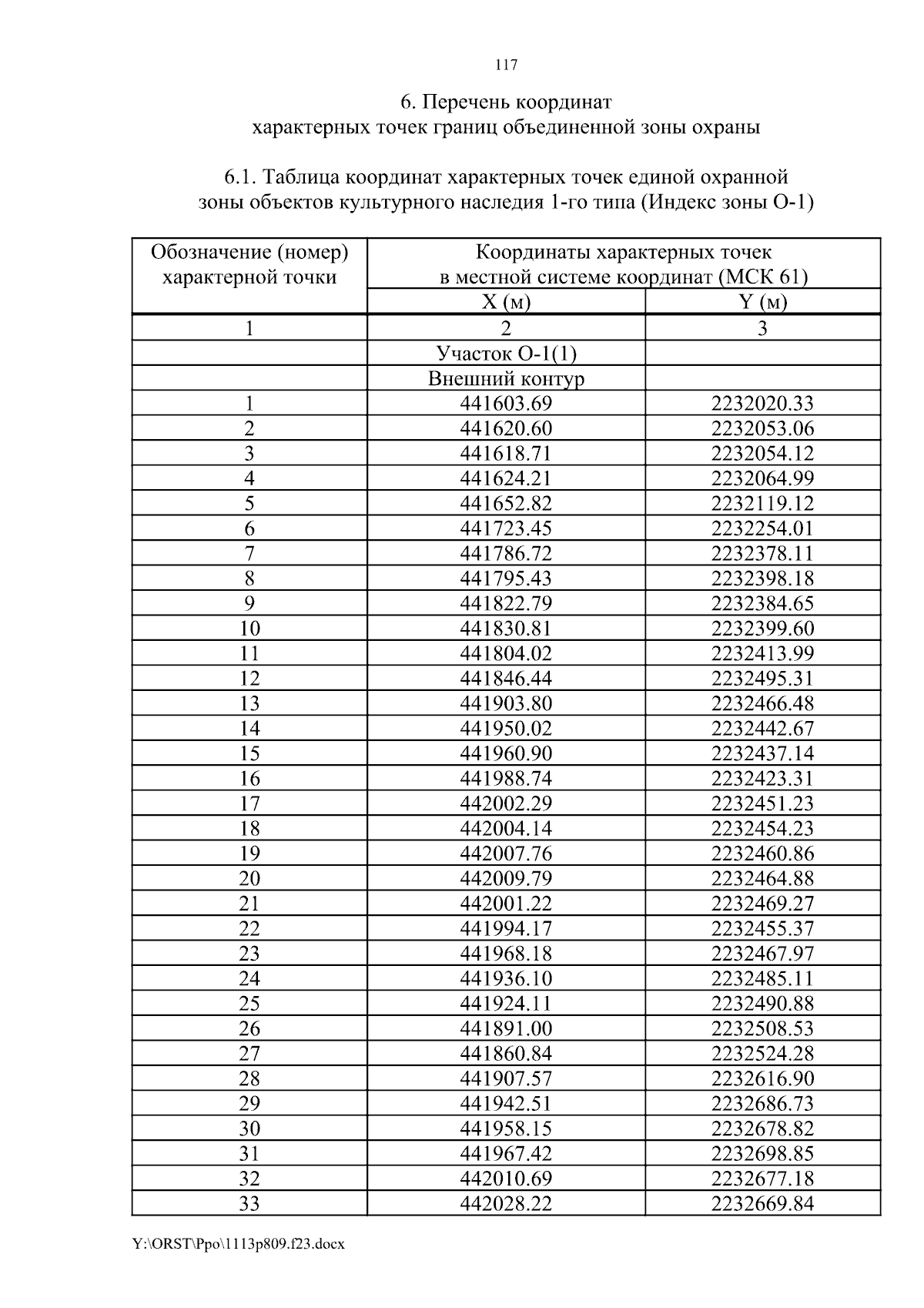
Постановление Правительства Ростовской области от 13.11.2023 № 809
"Об установлении объединенной зоны охраны объектов культурного наследия города Новочеркасска Ростовской области и утверждении требований к градостроительным регламентам в границах территорий данных зон"
Номер опубликования: 6100202311160008
Дата опубликования: 16.11.2023
Страница №117 из 309:
Увеличить