Официальное опубликование правовых актов
ОФИЦИАЛЬНОЕ ОПУБЛИКОВАНИЕ
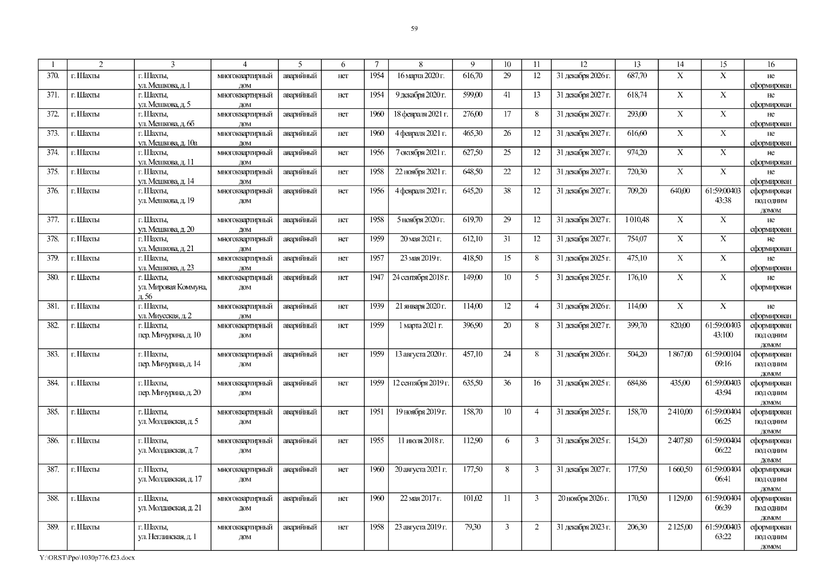
Постановление Правительства Ростовской области от 30.10.2023 № 776
"Об утверждении областной адресной программы "Переселение граждан из многоквартирных домов, а также домов блокированной застройки, признанных аварийными, подлежащих сносу или реконструкции"
Номер опубликования: 6100202311010019
Дата опубликования: 01.11.2023
Страница №59 из 82:
Увеличить