Официальное опубликование правовых актов
ОФИЦИАЛЬНОЕ ОПУБЛИКОВАНИЕ
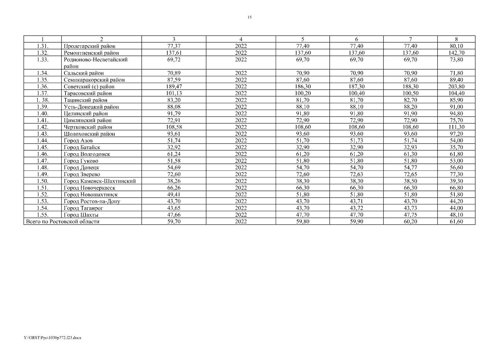
Постановление Правительства Ростовской области от 30.10.2023 № 772
"О внесении изменений в постановление Правительства Ростовской области от 17.10.2018 № 648"
Номер опубликования: 6100202311010015
Дата опубликования: 01.11.2023
Страница №15 из 92:
Увеличить