Официальное опубликование правовых актов
ОФИЦИАЛЬНОЕ ОПУБЛИКОВАНИЕ
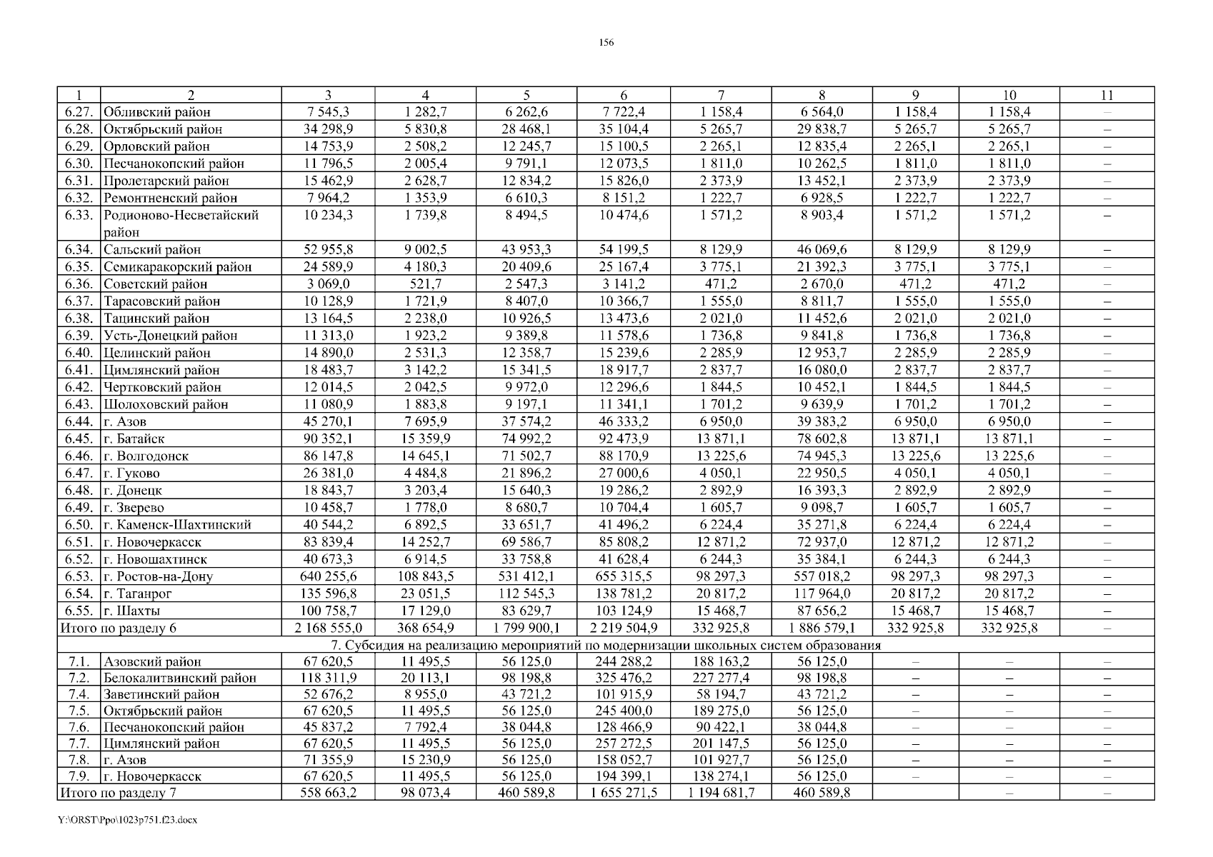
Постановление Правительства Ростовской области от 23.10.2023 № 751
"О внесении изменений в постановление Правительства Ростовской области от 17.10.2018 № 646"
Номер опубликования: 6100202310250009
Дата опубликования: 25.10.2023
Страница №156 из 160:
Увеличить