Официальное опубликование правовых актов
ОФИЦИАЛЬНОЕ ОПУБЛИКОВАНИЕ
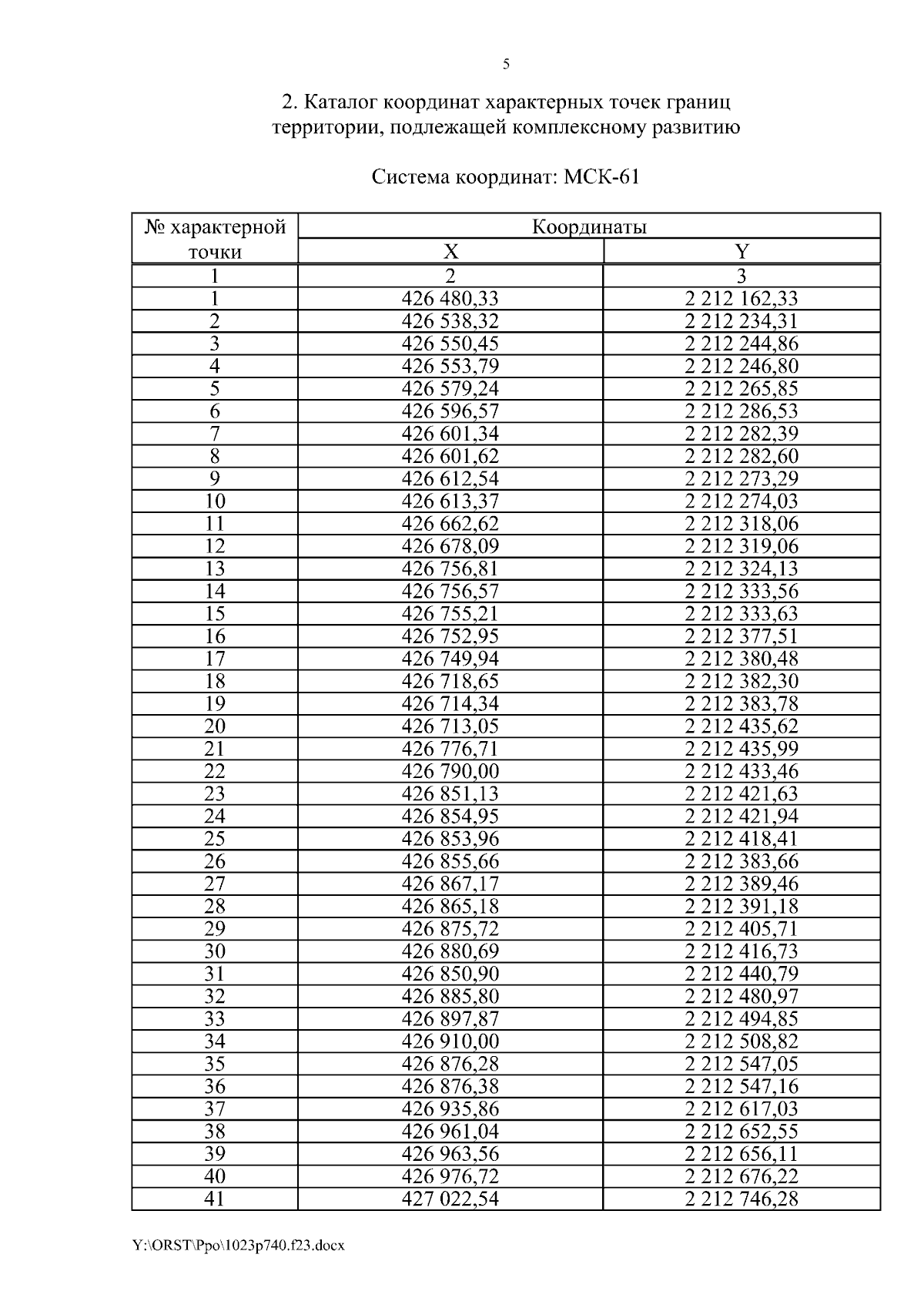
Постановление Правительства Ростовской области от 23.10.2023 № 740
"О внесении изменений в постановление Правительства Ростовской области от 27.06.2022 № 555"
Номер опубликования: 6100202310250001
Дата опубликования: 25.10.2023
Страница №5 из 26:
Увеличить